当前位置:首页>央企考试真题>大厂行测笔试|百度产品实习offer:讨厌行测?可能因为你没看懂考察的真实用意

大厂行测笔试|百度产品实习offer:讨厌行测?可能因为你没看懂考察的真实用意

  • 2026-05-13 09:41:30
大厂行测笔试|百度产品实习offer:讨厌行测?可能因为你没看懂考察的真实用意

📌“统计学背景,零产品经验,简历石沉大海”就在最近,这样一位职计划74期学员成功上岸百度产品经理寒假实习Offer,完成了看似不可能的惊险一跃。

🧩他的路径值得深挖:当“商分数分”赛道拥挤不堪时,他没有盲目内卷,而是选择在@职计划进行了一场系统升级。不仅吃透了产品项目与求职技巧,更在课后主动纵深,研读专业书籍。而这种将战略课程转化为深度认知和实战能力的习惯,恰恰让他在面对行测时游刃有余。

职计划74期学员、大连工业/天津大学、百度产品实习offer

📅学员背景

统计学专业出身,在热门的数据赛道(商业分析/数据分析)因竞争激烈而受挫。尽管拥有技术背景,却缺乏“产品化”的能力框架。

📅职计划赋能

▶项目驱动:通过真实行业场景下的实战项目,引导学员完成从需求洞察、方案设计到数据验证的完整产品流程。

▶策略包装:针对学员背景,职计划提供能力翻译专项指导,帮助学员将统计学技能精准地转化为产品经理的核心优势,让简历在众多求职者中直接击中筛选者的需求痛点。

▶深度模拟:通过全真模拟面试与笔试训练,学员在高压下反复磨砺,将所学知识内化为条件反射般的应答能力与解题速度,最终在大厂考核时,能够游刃有余,稳定发挥。

📅职计划寄语

职计划的使命,就是成为你求职路上的“能力加速器”与“策略导航仪”!

公司速览

🌐百度:从搜索引擎到AI生态领航者

作为中国互联网的奠基者,百度从中文搜索引擎起步,已进化为集AI技术、智能云、自动驾驶于一体的科技生态巨头。以“用科技让复杂的世界更简单”为使命,百度正通过前沿创新重新定义人机交互:

✅核心引擎:百度搜索+百度App,持续领跑中文信息赛道;

✅AI先锋:文心大模型、飞桨;

✅未来布局:Apollo自动驾驶+小度助手;

区别于传统科技公司,百度依托20年数据积累与AI全栈能力,构建了“技术研发-场景落地-商业闭环”的智能生态。

🌐从PC时代到AI纪元,百度正在书写下一代互联网的底层代码。

了解之后,今天就让我们一起走进真题世界吧~

言语理解

1

题目1:

例题1:

绝密

启用前

5000多年前某地是大汶口文化,但在距今约4400年的时候,为龙山文化所替代,是什么原因导致这两种文化的更迭?考古人员发现在距今约4400年前的时候,发生了一次严重的“冷事件”,环境由原来的温暖湿润转变为寒冷干燥,植被大量减少,藻类、水生植物基本绝迹了,大汶口文化向南迁移,而龙山文化由北迁到此地,他们据此认为,距今4400年左右的极端气候变化,可能是导致这次文化变迁的主要原因。

以下哪项如果为真,最能支持上述论证?

A.大汶口文化有不断向南方迁移的传统

B.龙山文化刚迁来时,人口较多,但之后逐渐减少,在距今约4000年的时候消失了

C.大汶口文化的族群以藻类和水生植物作为食物的主要来源

D.不同生存方式的族群对气候和环境都有相对稳定的需求

解析

①提取论证结构

▶论点:极端气候变化是导致文化变迁的主要原因;

▶论据:(1)4400年前发生“冷事件”,环境变得寒冷干燥;(2)植被减少,藻类、水生植物基本绝迹;(3)大汶口文化南迁,龙山文化北迁至此。

②选项分析

A:暗示迁移可能源于文化传统而非气候变化,削弱项❌

B:讨论的是迁移400年后的事情,时间错位,与4400年前的迁移原因无关❌

C:部分支持但不够全面,仅解释了一方(大汶口)的迁移,未涉及龙山文化的迁入❌

D:将气候变化与文化迁移直接关联:气候变化导致环境改变,而族群对环境有稳定需求,环境改变迫使族群迁移,因此气候变化导致文化迁移✅

正确答案:D

2

题目2:

例题2:

绝密

启用前

《老子》的整个思想都是围绕着中心概念“道”而展开的,然而《老子》的七十三个“道”字,虽然符号形式统一,却有不同的意义。有的地方“道”是指世界存在的根源,有的地方“道”是指一种规律,有的地方“道”是指人生的一种准则,这反映出“道”一统的人生观。

老子所说的“道生一,一生二,二生三,三生万物”中的“道”是指什么?

A.形而上学的本体

B.事物的一种法则

C.人生的一种准则

D.事物规律和人生准则的结合

解析

①论证逻辑

▶核心句子:“道生一,一生二,二生三,三生万物”;

▶逻辑链条:道→一→二→三→万物;

▶初步判断:“生”字是关键:表示本源、起源、生成;这里的“道”处于逻辑链条的最开端,是万物的终极源头。

②选项分析

A选项:

▶选项内涵:哲学中指独立存在的、一切属性的承担者,世界的根本实在;

▶匹配度分析:

“形而上学”:研究超越经验、超越现象的本质;

“道生万物”:“道”是万物的终极源头,对应A选项的“本体”✅

正确答案:A

3

题目3:

例题3:

绝密

启用前

9个人组成的投票体,民主地决定各种议案,议案获得通过需要5票或5票以上。此时每个人的权力均等。一旦其中出现5个或5个以上的人结盟,那么其余的人实际上已被出局。若9个人形成4个联盟,人数分别为3、3、2、1,每个联盟的权力不再相等。

由此推出结论:

A.人数分别为3、3、2的权力相等,人数为1的联盟的权力为0

B.若9个人形成3个联盟,这3个联盟的人数分别为4、3、2

C.若9个人形成3个联盟,各联盟所拥有的权力均等

D.人数分别为3、3、2的权力相等,人数为1的联盟的权力为1

解析

①投票规则

▶总人数:9人;

▶通过门槛:5票或以上;

▶初始状态:每人权力均等(每人1票,每人权力值视为1);

▶联盟权利:

决定性联盟:票数≥5的联盟有绝对权力;

关键性联盟:能与其他联盟组合达到≥5票;

边缘性联盟:无论如何组合都无法使任何议案达到5票;

②选项分析

A选项:

▶2、3人联盟权利分析:3+3=6票、3+2=5票→可共同通过议案;3+1=4票、2+1=3票→不足5票;因此人数分别为3、3、2的权力相等;

▶1人联盟权力分析:在任何达到5票的组合中,去掉1人联盟仍能达到5票,1人联盟是冗余的,对任何议案的通过都没有决定性影响✅

B选项:过度推断,从4个联盟的情况无法推出3个联盟的具体人数分配❌

C选项:如果形成5、2、2的联盟,5人联盟有绝对权力❌

D选项:与A矛盾❌

正确答案:A

4

题目4:

例题4:

绝密

启用前

A、B、C、D四个女生住在同一个宿舍,她们当中有一个人在洗水果,一个人在画画,一个人在上网,一个人在复习功课。其中:①A不在洗水果,也不在复习功课;②B不在上网,也不在洗水果;③如果A不在上网,那么D不在洗水果;④C不在复习功课,也不在洗水果;⑤D不在复习功课,也不在上网。

下列说法正确的是:

A.B在复习功课,C在画画

B.C在洗水果,D在复习功课

C.A在上网,B在画画

D.A在复习功课、D在画画

解析

①确定洗水果的人

A不洗(①)、B不洗(②)、C不洗(④),结论:只能是D洗水果;

②确定复习功课的人

A不复(①)、C不复(④)、D不复(⑤),结论:只能是B复习功课;

③利用条件③

条件③:如果A不在上网,那么D不在洗水果;

逻辑逆否:如果D在洗水果,那么A在上网;

已知:D在洗水果

结论:A一定在上网

④结论

A上网、B复习功课、D洗水果、剩下C只能画画✅

正确答案:A

5

题目5:

例题5:

绝密

启用前

《论语》中经常出现“君子”一词。“君子”原意为有地位的人。一国之主被称为君主,一村之长被称为里君。在儒教看来,即便是没有地位,但若是“有德之人”,同样可以成为君子。即便是在野之人,能以国家之责为己任,亦为君子。并且《论语》中也有多处“君子”既可解释为在位者,也可以解释为有德才之人。

根据以上文段,对“君子”的理解最准确的是:

A.有地位的人是“君子”

B.“有德之人”是“君子”

C.有地位的人和有德之人是“君子”

D.在野之人也可以是“君子”

解析

《论语》中多处“君子”有双重解释可能:既可解释为在位者、也可解释为有德才之人。因此,对应选项C。

正确答案:C

数学应用

1

题目1:

例题1:

绝密

启用前

从数字0,1,2,3中任意选择组合,可以得到多少个所含数字不重复的偶数?

A.27

B.170

C.7

D.32

解析

▶第一类:1位数偶数

可选:0、2(2种选择)

▶第二类:2位数偶数

①个位为0:十位从{1,2,3}中选1个(3种选择)

②个位为2:十位从{1,3}中选1个(2种选择)

▶第三类:3位数偶数

①个位为0:百位和十位从{1,2,3}中选2个排列(6种选择)

②个位为2:百位从{1,3}中选1个,十位从剩下的数字和0中选(4种选择)

▶第四类:4位数偶数

①个位为0:千位、百位、十位安排{1,2,3}的全排列(6种选择)

②个位为2:千位从{1,3}中选1个,百位和十位从剩下的数字和0中选(4种选择)

因此,共27种选择✅

正确答案:A

2

题目2:

例题2:

绝密

启用前

从一副完整的扑克牌中至少抽出多少张牌,才能保证至少有5张牌的花色相同?

A.17

B.18

C.19

D.20

解析

①扑克牌构成:

54张牌=4种花色×13张+2张王牌(大小鬼)

目标:保证至少有5张牌的花色相同,“保证”意味着无论怎么抽,都一定会出现;

②最不利原则:

先构造最坏情况,再加1就达到“保证”;

③最坏情况构造:

每种花色先各抽4张(这样每种花色都有4张,但都不足5张);

数量:4种花色×4张=16张;

再把2张王牌全部抽出来(王牌没有花色,不会帮助任何花色达到5张);

数量:16+2=18张;

④结论:

抽19张牌就一定能保证至少有一种花色达到5张。

正确答案:C

3

题目3:

例题3:

绝密

启用前

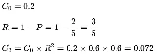
从一瓶浓度为20%的消毒液中倒出2/5后,加满清水,再倒出2/5,又加满清水,此时消毒液的浓度为:

A.7.2%

B.3.2%

C.5.0%

D.4.8%

解析

①基本公式

②关键洞察

每次倒出部分溶液再加水,浓度变化有规律:浓度变化因子=剩余溶液比例,因为倒出溶液时,溶质按比例减少;

③数学表达

设初始浓度为

每次倒出比例

剩余比例

一次操作后浓度:

两次操作后浓度:

④代入数值

正确答案:A

4

题目4:

例题4:

绝密

启用前

A.47

B.83

C.128

D.279

解析

正确答案:D

5

题目5:

例题5:

绝密

启用前

A.

B.

C.

D.

解析

原数列各项可转化为:

①分母是平方数列,下一项应为36;

②分子是公差为4的等差数列,下一项为22。

正确答案:B

图形推理

1

题目1:

例题1:

绝密

启用前

在所给的选项中,选择最合适的一项填入问号处?

A.

B.

C.

D.

解析

①观察图形

图形特点:几何图形,规整,有明显的对称特征;

初步思路:考虑对称性、旋转、数量等常见规律;

②对称性分析

第一列分析(从上到下):全部是竖轴对称图形;

第二列分析(从上到下):全部是横轴对称图形;

第三列分析(从上到下):既是横轴对称又是竖轴对称的图形;

在选项中找出同时具有横轴和竖轴对称的图形,对应选项D。

正确答案:D

2

题目2:

例题2:

绝密

启用前

在所给的选项中,选择最合适的一项填入问号处?

A.

B.

C.

D.

解析

本题考查曲直交点(曲线与直线的交点)数量:

第一行(从左到右)曲直交点数为0,1,2;

第二行(从左到右)曲直交点数为0,1,2;

第三行(从左到右)曲直交点数也应该为0,1,2;

A选项曲直交点数为2,B选项曲直交点数为4,C选项无曲直交点,D选项曲直交点数为4。

正确答案:A

3

题目3:

例题3:

绝密

启用前

在所给的选项中,选择最合适的一项填入问号处?

A.

B.

C.

D.

解析

①观察图形

图形有明显被分割的封闭白色区域(面),考虑面数量规律。

②总结规律

第一组:面数量依次为1、2、3;

规律:前两个图形面数量之和等于第三个图形的面数量;

③应用规律

第二组:面数量依次为4、1、?

因此问号处应选择有5个面的图形,只有C选项符合。

正确答案:C

4

题目4:

例题4:

绝密

启用前

在所给的选项中,选择最合适的一项填入问号处?

A.

B.

C.

D.

解析

本题考查直线数量类规律:

①题干图形颜色为黑白交替;

②经过观察可以发现:

题干主体图形颜色为白色的,下方线条数量为偶数;

题干主体图形颜色为黑色的,下方线条数量为奇数;

因此对应选项B。

正确答案:B

5

题目5:

例题5:

绝密

启用前

把上面的六个图形分为两类,使一类图形都有各自的共同特征或规律,分类正确的一项是:

A.①②③、④⑤⑥

B.①③④、②⑤⑥

C.①④⑥、②③⑤

D.①②④、③⑤⑥

解析

本题考察元素数量:

可以发现①③④图形元素中圆形的数量为3、而②⑤⑥图形元素中圆形的数量为4,对应选项B。

正确答案:B

以上就是本期的大厂真题卷分享啦!你回答的如何?欢迎留言讨论~

点击顶部关注【职计划行测攻略】,不再错过更新,你将收获更多大厂上岸经验~

注:本文部分解题方法论参考行业通用培训资料,结合笔者实战经验总结而成。例题来源于历史考题,各企业每年题型可能调整,备考时建议结合官方考纲与当年真题双向验证。如遇到新题目欢迎读者投稿交流~

大厂在职L8产品专家每场课价值20万的产品经理,累计辅导1500+同学收获高薪产品offer,进入各互联网一线大厂,包括但不限于:京东管培、腾讯、美团、字节跳动、百度、阿里、快手、拼多多管培、微软、携程、360、华为、爱奇艺、小红书、哔哩哔哩等SP/SSP offer

就业形势严峻,加入【职计划】大家庭,成就每个年轻人的职业梦想!

与梦追 | Live House

我们三五成群

<<<  END >>>

最新文章

随机文章

基本 文件 流程 错误 SQL 调试
  1. 请求信息 : 2026-05-22 05:55:35 HTTP/2.0 GET : https://c.15386.cn/a/457995.html
  2. 运行时间 : 0.234103s [ 吞吐率:4.27req/s ] 内存消耗:4,908.95kb 文件加载:140
  3. 缓存信息 : 0 reads,0 writes
  4. 会话信息 : SESSION_ID=21d0b044e5390813d2824489fb820cef
  1. /yingpanguazai/ssd/ssd1/www/c.15386.cn/public/index.php ( 0.79 KB )
  2. /yingpanguazai/ssd/ssd1/www/c.15386.cn/vendor/autoload.php ( 0.17 KB )
  3. /yingpanguazai/ssd/ssd1/www/c.15386.cn/vendor/composer/autoload_real.php ( 2.49 KB )
  4. /yingpanguazai/ssd/ssd1/www/c.15386.cn/vendor/composer/platform_check.php ( 0.90 KB )
  5. /yingpanguazai/ssd/ssd1/www/c.15386.cn/vendor/composer/ClassLoader.php ( 14.03 KB )
  6. /yingpanguazai/ssd/ssd1/www/c.15386.cn/vendor/composer/autoload_static.php ( 4.90 KB )
  7. /yingpanguazai/ssd/ssd1/www/c.15386.cn/vendor/topthink/think-helper/src/helper.php ( 8.34 KB )
  8. /yingpanguazai/ssd/ssd1/www/c.15386.cn/vendor/topthink/think-validate/src/helper.php ( 2.19 KB )
  9. /yingpanguazai/ssd/ssd1/www/c.15386.cn/vendor/topthink/think-orm/src/helper.php ( 1.47 KB )
  10. /yingpanguazai/ssd/ssd1/www/c.15386.cn/vendor/topthink/think-orm/stubs/load_stubs.php ( 0.16 KB )
  11. /yingpanguazai/ssd/ssd1/www/c.15386.cn/vendor/topthink/framework/src/think/Exception.php ( 1.69 KB )
  12. /yingpanguazai/ssd/ssd1/www/c.15386.cn/vendor/topthink/think-container/src/Facade.php ( 2.71 KB )
  13. /yingpanguazai/ssd/ssd1/www/c.15386.cn/vendor/symfony/deprecation-contracts/function.php ( 0.99 KB )
  14. /yingpanguazai/ssd/ssd1/www/c.15386.cn/vendor/symfony/polyfill-mbstring/bootstrap.php ( 8.26 KB )
  15. /yingpanguazai/ssd/ssd1/www/c.15386.cn/vendor/symfony/polyfill-mbstring/bootstrap80.php ( 9.78 KB )
  16. /yingpanguazai/ssd/ssd1/www/c.15386.cn/vendor/symfony/var-dumper/Resources/functions/dump.php ( 1.49 KB )
  17. /yingpanguazai/ssd/ssd1/www/c.15386.cn/vendor/topthink/think-dumper/src/helper.php ( 0.18 KB )
  18. /yingpanguazai/ssd/ssd1/www/c.15386.cn/vendor/symfony/var-dumper/VarDumper.php ( 4.30 KB )
  19. /yingpanguazai/ssd/ssd1/www/c.15386.cn/vendor/topthink/framework/src/think/App.php ( 15.30 KB )
  20. /yingpanguazai/ssd/ssd1/www/c.15386.cn/vendor/topthink/think-container/src/Container.php ( 15.76 KB )
  21. /yingpanguazai/ssd/ssd1/www/c.15386.cn/vendor/psr/container/src/ContainerInterface.php ( 1.02 KB )
  22. /yingpanguazai/ssd/ssd1/www/c.15386.cn/app/provider.php ( 0.19 KB )
  23. /yingpanguazai/ssd/ssd1/www/c.15386.cn/vendor/topthink/framework/src/think/Http.php ( 6.04 KB )
  24. /yingpanguazai/ssd/ssd1/www/c.15386.cn/vendor/topthink/think-helper/src/helper/Str.php ( 7.29 KB )
  25. /yingpanguazai/ssd/ssd1/www/c.15386.cn/vendor/topthink/framework/src/think/Env.php ( 4.68 KB )
  26. /yingpanguazai/ssd/ssd1/www/c.15386.cn/app/common.php ( 0.03 KB )
  27. /yingpanguazai/ssd/ssd1/www/c.15386.cn/vendor/topthink/framework/src/helper.php ( 18.78 KB )
  28. /yingpanguazai/ssd/ssd1/www/c.15386.cn/vendor/topthink/framework/src/think/Config.php ( 5.54 KB )
  29. /yingpanguazai/ssd/ssd1/www/c.15386.cn/config/app.php ( 0.95 KB )
  30. /yingpanguazai/ssd/ssd1/www/c.15386.cn/config/cache.php ( 0.78 KB )
  31. /yingpanguazai/ssd/ssd1/www/c.15386.cn/config/console.php ( 0.23 KB )
  32. /yingpanguazai/ssd/ssd1/www/c.15386.cn/config/cookie.php ( 0.56 KB )
  33. /yingpanguazai/ssd/ssd1/www/c.15386.cn/config/database.php ( 2.48 KB )
  34. /yingpanguazai/ssd/ssd1/www/c.15386.cn/vendor/topthink/framework/src/think/facade/Env.php ( 1.67 KB )
  35. /yingpanguazai/ssd/ssd1/www/c.15386.cn/config/filesystem.php ( 0.61 KB )
  36. /yingpanguazai/ssd/ssd1/www/c.15386.cn/config/lang.php ( 0.91 KB )
  37. /yingpanguazai/ssd/ssd1/www/c.15386.cn/config/log.php ( 1.35 KB )
  38. /yingpanguazai/ssd/ssd1/www/c.15386.cn/config/middleware.php ( 0.19 KB )
  39. /yingpanguazai/ssd/ssd1/www/c.15386.cn/config/route.php ( 1.89 KB )
  40. /yingpanguazai/ssd/ssd1/www/c.15386.cn/config/session.php ( 0.57 KB )
  41. /yingpanguazai/ssd/ssd1/www/c.15386.cn/config/trace.php ( 0.34 KB )
  42. /yingpanguazai/ssd/ssd1/www/c.15386.cn/config/view.php ( 0.82 KB )
  43. /yingpanguazai/ssd/ssd1/www/c.15386.cn/app/event.php ( 0.25 KB )
  44. /yingpanguazai/ssd/ssd1/www/c.15386.cn/vendor/topthink/framework/src/think/Event.php ( 7.67 KB )
  45. /yingpanguazai/ssd/ssd1/www/c.15386.cn/app/service.php ( 0.13 KB )
  46. /yingpanguazai/ssd/ssd1/www/c.15386.cn/app/AppService.php ( 0.26 KB )
  47. /yingpanguazai/ssd/ssd1/www/c.15386.cn/vendor/topthink/framework/src/think/Service.php ( 1.64 KB )
  48. /yingpanguazai/ssd/ssd1/www/c.15386.cn/vendor/topthink/framework/src/think/Lang.php ( 7.35 KB )
  49. /yingpanguazai/ssd/ssd1/www/c.15386.cn/vendor/topthink/framework/src/lang/zh-cn.php ( 13.70 KB )
  50. /yingpanguazai/ssd/ssd1/www/c.15386.cn/vendor/topthink/framework/src/think/initializer/Error.php ( 3.31 KB )
  51. /yingpanguazai/ssd/ssd1/www/c.15386.cn/vendor/topthink/framework/src/think/initializer/RegisterService.php ( 1.33 KB )
  52. /yingpanguazai/ssd/ssd1/www/c.15386.cn/vendor/services.php ( 0.14 KB )
  53. /yingpanguazai/ssd/ssd1/www/c.15386.cn/vendor/topthink/framework/src/think/service/PaginatorService.php ( 1.52 KB )
  54. /yingpanguazai/ssd/ssd1/www/c.15386.cn/vendor/topthink/framework/src/think/service/ValidateService.php ( 0.99 KB )
  55. /yingpanguazai/ssd/ssd1/www/c.15386.cn/vendor/topthink/framework/src/think/service/ModelService.php ( 2.04 KB )
  56. /yingpanguazai/ssd/ssd1/www/c.15386.cn/vendor/topthink/think-trace/src/Service.php ( 0.77 KB )
  57. /yingpanguazai/ssd/ssd1/www/c.15386.cn/vendor/topthink/framework/src/think/Middleware.php ( 6.72 KB )
  58. /yingpanguazai/ssd/ssd1/www/c.15386.cn/vendor/topthink/framework/src/think/initializer/BootService.php ( 0.77 KB )
  59. /yingpanguazai/ssd/ssd1/www/c.15386.cn/vendor/topthink/think-orm/src/Paginator.php ( 11.86 KB )
  60. /yingpanguazai/ssd/ssd1/www/c.15386.cn/vendor/topthink/think-validate/src/Validate.php ( 63.20 KB )
  61. /yingpanguazai/ssd/ssd1/www/c.15386.cn/vendor/topthink/think-orm/src/Model.php ( 23.55 KB )
  62. /yingpanguazai/ssd/ssd1/www/c.15386.cn/vendor/topthink/think-orm/src/model/concern/Attribute.php ( 21.05 KB )
  63. /yingpanguazai/ssd/ssd1/www/c.15386.cn/vendor/topthink/think-orm/src/model/concern/AutoWriteData.php ( 4.21 KB )
  64. /yingpanguazai/ssd/ssd1/www/c.15386.cn/vendor/topthink/think-orm/src/model/concern/Conversion.php ( 6.44 KB )
  65. /yingpanguazai/ssd/ssd1/www/c.15386.cn/vendor/topthink/think-orm/src/model/concern/DbConnect.php ( 5.16 KB )
  66. /yingpanguazai/ssd/ssd1/www/c.15386.cn/vendor/topthink/think-orm/src/model/concern/ModelEvent.php ( 2.33 KB )
  67. /yingpanguazai/ssd/ssd1/www/c.15386.cn/vendor/topthink/think-orm/src/model/concern/RelationShip.php ( 28.29 KB )
  68. /yingpanguazai/ssd/ssd1/www/c.15386.cn/vendor/topthink/think-helper/src/contract/Arrayable.php ( 0.09 KB )
  69. /yingpanguazai/ssd/ssd1/www/c.15386.cn/vendor/topthink/think-helper/src/contract/Jsonable.php ( 0.13 KB )
  70. /yingpanguazai/ssd/ssd1/www/c.15386.cn/vendor/topthink/think-orm/src/model/contract/Modelable.php ( 0.09 KB )
  71. /yingpanguazai/ssd/ssd1/www/c.15386.cn/vendor/topthink/framework/src/think/Db.php ( 2.88 KB )
  72. /yingpanguazai/ssd/ssd1/www/c.15386.cn/vendor/topthink/think-orm/src/DbManager.php ( 8.52 KB )
  73. /yingpanguazai/ssd/ssd1/www/c.15386.cn/vendor/topthink/framework/src/think/Log.php ( 6.28 KB )
  74. /yingpanguazai/ssd/ssd1/www/c.15386.cn/vendor/topthink/framework/src/think/Manager.php ( 3.92 KB )
  75. /yingpanguazai/ssd/ssd1/www/c.15386.cn/vendor/psr/log/src/LoggerTrait.php ( 2.69 KB )
  76. /yingpanguazai/ssd/ssd1/www/c.15386.cn/vendor/psr/log/src/LoggerInterface.php ( 2.71 KB )
  77. /yingpanguazai/ssd/ssd1/www/c.15386.cn/vendor/topthink/framework/src/think/Cache.php ( 4.92 KB )
  78. /yingpanguazai/ssd/ssd1/www/c.15386.cn/vendor/psr/simple-cache/src/CacheInterface.php ( 4.71 KB )
  79. /yingpanguazai/ssd/ssd1/www/c.15386.cn/vendor/topthink/think-helper/src/helper/Arr.php ( 16.63 KB )
  80. /yingpanguazai/ssd/ssd1/www/c.15386.cn/vendor/topthink/framework/src/think/cache/driver/File.php ( 7.84 KB )
  81. /yingpanguazai/ssd/ssd1/www/c.15386.cn/vendor/topthink/framework/src/think/cache/Driver.php ( 9.03 KB )
  82. /yingpanguazai/ssd/ssd1/www/c.15386.cn/vendor/topthink/framework/src/think/contract/CacheHandlerInterface.php ( 1.99 KB )
  83. /yingpanguazai/ssd/ssd1/www/c.15386.cn/app/Request.php ( 0.09 KB )
  84. /yingpanguazai/ssd/ssd1/www/c.15386.cn/vendor/topthink/framework/src/think/Request.php ( 55.78 KB )
  85. /yingpanguazai/ssd/ssd1/www/c.15386.cn/app/middleware.php ( 0.25 KB )
  86. /yingpanguazai/ssd/ssd1/www/c.15386.cn/vendor/topthink/framework/src/think/Pipeline.php ( 2.61 KB )
  87. /yingpanguazai/ssd/ssd1/www/c.15386.cn/vendor/topthink/think-trace/src/TraceDebug.php ( 3.40 KB )
  88. /yingpanguazai/ssd/ssd1/www/c.15386.cn/vendor/topthink/framework/src/think/middleware/SessionInit.php ( 1.94 KB )
  89. /yingpanguazai/ssd/ssd1/www/c.15386.cn/vendor/topthink/framework/src/think/Session.php ( 1.80 KB )
  90. /yingpanguazai/ssd/ssd1/www/c.15386.cn/vendor/topthink/framework/src/think/session/driver/File.php ( 6.27 KB )
  91. /yingpanguazai/ssd/ssd1/www/c.15386.cn/vendor/topthink/framework/src/think/contract/SessionHandlerInterface.php ( 0.87 KB )
  92. /yingpanguazai/ssd/ssd1/www/c.15386.cn/vendor/topthink/framework/src/think/session/Store.php ( 7.12 KB )
  93. /yingpanguazai/ssd/ssd1/www/c.15386.cn/vendor/topthink/framework/src/think/Route.php ( 23.73 KB )
  94. /yingpanguazai/ssd/ssd1/www/c.15386.cn/vendor/topthink/framework/src/think/route/RuleName.php ( 5.75 KB )
  95. /yingpanguazai/ssd/ssd1/www/c.15386.cn/vendor/topthink/framework/src/think/route/Domain.php ( 2.53 KB )
  96. /yingpanguazai/ssd/ssd1/www/c.15386.cn/vendor/topthink/framework/src/think/route/RuleGroup.php ( 22.43 KB )
  97. /yingpanguazai/ssd/ssd1/www/c.15386.cn/vendor/topthink/framework/src/think/route/Rule.php ( 26.95 KB )
  98. /yingpanguazai/ssd/ssd1/www/c.15386.cn/vendor/topthink/framework/src/think/route/RuleItem.php ( 9.78 KB )
  99. /yingpanguazai/ssd/ssd1/www/c.15386.cn/route/app.php ( 1.72 KB )
  100. /yingpanguazai/ssd/ssd1/www/c.15386.cn/vendor/topthink/framework/src/think/facade/Route.php ( 4.70 KB )
  101. /yingpanguazai/ssd/ssd1/www/c.15386.cn/vendor/topthink/framework/src/think/route/dispatch/Controller.php ( 4.74 KB )
  102. /yingpanguazai/ssd/ssd1/www/c.15386.cn/vendor/topthink/framework/src/think/route/Dispatch.php ( 10.44 KB )
  103. /yingpanguazai/ssd/ssd1/www/c.15386.cn/app/controller/Index.php ( 4.81 KB )
  104. /yingpanguazai/ssd/ssd1/www/c.15386.cn/app/BaseController.php ( 2.05 KB )
  105. /yingpanguazai/ssd/ssd1/www/c.15386.cn/vendor/topthink/think-orm/src/facade/Db.php ( 0.93 KB )
  106. /yingpanguazai/ssd/ssd1/www/c.15386.cn/vendor/topthink/think-orm/src/db/connector/Mysql.php ( 5.44 KB )
  107. /yingpanguazai/ssd/ssd1/www/c.15386.cn/vendor/topthink/think-orm/src/db/PDOConnection.php ( 52.47 KB )
  108. /yingpanguazai/ssd/ssd1/www/c.15386.cn/vendor/topthink/think-orm/src/db/Connection.php ( 8.39 KB )
  109. /yingpanguazai/ssd/ssd1/www/c.15386.cn/vendor/topthink/think-orm/src/db/ConnectionInterface.php ( 4.57 KB )
  110. /yingpanguazai/ssd/ssd1/www/c.15386.cn/vendor/topthink/think-orm/src/db/builder/Mysql.php ( 16.58 KB )
  111. /yingpanguazai/ssd/ssd1/www/c.15386.cn/vendor/topthink/think-orm/src/db/Builder.php ( 24.06 KB )
  112. /yingpanguazai/ssd/ssd1/www/c.15386.cn/vendor/topthink/think-orm/src/db/BaseBuilder.php ( 27.50 KB )
  113. /yingpanguazai/ssd/ssd1/www/c.15386.cn/vendor/topthink/think-orm/src/db/Query.php ( 15.71 KB )
  114. /yingpanguazai/ssd/ssd1/www/c.15386.cn/vendor/topthink/think-orm/src/db/BaseQuery.php ( 45.13 KB )
  115. /yingpanguazai/ssd/ssd1/www/c.15386.cn/vendor/topthink/think-orm/src/db/concern/TimeFieldQuery.php ( 7.43 KB )
  116. /yingpanguazai/ssd/ssd1/www/c.15386.cn/vendor/topthink/think-orm/src/db/concern/AggregateQuery.php ( 3.26 KB )
  117. /yingpanguazai/ssd/ssd1/www/c.15386.cn/vendor/topthink/think-orm/src/db/concern/ModelRelationQuery.php ( 20.07 KB )
  118. /yingpanguazai/ssd/ssd1/www/c.15386.cn/vendor/topthink/think-orm/src/db/concern/ParamsBind.php ( 3.66 KB )
  119. /yingpanguazai/ssd/ssd1/www/c.15386.cn/vendor/topthink/think-orm/src/db/concern/ResultOperation.php ( 7.01 KB )
  120. /yingpanguazai/ssd/ssd1/www/c.15386.cn/vendor/topthink/think-orm/src/db/concern/WhereQuery.php ( 19.37 KB )
  121. /yingpanguazai/ssd/ssd1/www/c.15386.cn/vendor/topthink/think-orm/src/db/concern/JoinAndViewQuery.php ( 7.11 KB )
  122. /yingpanguazai/ssd/ssd1/www/c.15386.cn/vendor/topthink/think-orm/src/db/concern/TableFieldInfo.php ( 2.63 KB )
  123. /yingpanguazai/ssd/ssd1/www/c.15386.cn/vendor/topthink/think-orm/src/db/concern/Transaction.php ( 2.77 KB )
  124. /yingpanguazai/ssd/ssd1/www/c.15386.cn/vendor/topthink/framework/src/think/log/driver/File.php ( 5.96 KB )
  125. /yingpanguazai/ssd/ssd1/www/c.15386.cn/vendor/topthink/framework/src/think/contract/LogHandlerInterface.php ( 0.86 KB )
  126. /yingpanguazai/ssd/ssd1/www/c.15386.cn/vendor/topthink/framework/src/think/log/Channel.php ( 3.89 KB )
  127. /yingpanguazai/ssd/ssd1/www/c.15386.cn/vendor/topthink/framework/src/think/event/LogRecord.php ( 1.02 KB )
  128. /yingpanguazai/ssd/ssd1/www/c.15386.cn/vendor/topthink/think-helper/src/Collection.php ( 16.47 KB )
  129. /yingpanguazai/ssd/ssd1/www/c.15386.cn/vendor/topthink/framework/src/think/facade/View.php ( 1.70 KB )
  130. /yingpanguazai/ssd/ssd1/www/c.15386.cn/vendor/topthink/framework/src/think/View.php ( 4.39 KB )
  131. /yingpanguazai/ssd/ssd1/www/c.15386.cn/vendor/topthink/framework/src/think/Response.php ( 8.81 KB )
  132. /yingpanguazai/ssd/ssd1/www/c.15386.cn/vendor/topthink/framework/src/think/response/View.php ( 3.29 KB )
  133. /yingpanguazai/ssd/ssd1/www/c.15386.cn/vendor/topthink/framework/src/think/Cookie.php ( 6.06 KB )
  134. /yingpanguazai/ssd/ssd1/www/c.15386.cn/vendor/topthink/think-view/src/Think.php ( 8.38 KB )
  135. /yingpanguazai/ssd/ssd1/www/c.15386.cn/vendor/topthink/framework/src/think/contract/TemplateHandlerInterface.php ( 1.60 KB )
  136. /yingpanguazai/ssd/ssd1/www/c.15386.cn/vendor/topthink/think-template/src/Template.php ( 46.61 KB )
  137. /yingpanguazai/ssd/ssd1/www/c.15386.cn/vendor/topthink/think-template/src/template/driver/File.php ( 2.41 KB )
  138. /yingpanguazai/ssd/ssd1/www/c.15386.cn/vendor/topthink/think-template/src/template/contract/DriverInterface.php ( 0.86 KB )
  139. /yingpanguazai/ssd/ssd1/www/c.15386.cn/runtime/temp/40f80deb92a91d097c4b967aecf15f1e.php ( 12.06 KB )
  140. /yingpanguazai/ssd/ssd1/www/c.15386.cn/vendor/topthink/think-trace/src/Html.php ( 4.42 KB )
  1. CONNECT:[ UseTime:0.001364s ] mysql:host=127.0.0.1;port=3306;dbname=c_15386;charset=utf8mb4
  2. SHOW FULL COLUMNS FROM `fenlei` [ RunTime:0.002234s ]
  3. SELECT * FROM `fenlei` WHERE `fid` = 0 [ RunTime:0.000764s ]
  4. SELECT * FROM `fenlei` WHERE `fid` = 63 [ RunTime:0.000672s ]
  5. SHOW FULL COLUMNS FROM `set` [ RunTime:0.001420s ]
  6. SELECT * FROM `set` [ RunTime:0.000563s ]
  7. SHOW FULL COLUMNS FROM `article` [ RunTime:0.001442s ]
  8. SELECT * FROM `article` WHERE `id` = 457995 LIMIT 1 [ RunTime:0.002220s ]
  9. UPDATE `article` SET `lasttime` = 1779400536 WHERE `id` = 457995 [ RunTime:0.016249s ]
  10. SELECT * FROM `fenlei` WHERE `id` = 65 LIMIT 1 [ RunTime:0.002383s ]
  11. SELECT * FROM `article` WHERE `id` < 457995 ORDER BY `id` DESC LIMIT 1 [ RunTime:0.001252s ]
  12. SELECT * FROM `article` WHERE `id` > 457995 ORDER BY `id` ASC LIMIT 1 [ RunTime:0.001261s ]
  13. SELECT * FROM `article` WHERE `id` < 457995 ORDER BY `id` DESC LIMIT 10 [ RunTime:0.009364s ]
  14. SELECT * FROM `article` WHERE `id` < 457995 ORDER BY `id` DESC LIMIT 10,10 [ RunTime:0.015521s ]
  15. SELECT * FROM `article` WHERE `id` < 457995 ORDER BY `id` DESC LIMIT 20,10 [ RunTime:0.014894s ]
0.238007s