当前位置:首页>央企考试真题>大厂行测笔试|腾讯产品offer:为什么斩获大厂Offer的浙大学员,会特别提到行测备考?

大厂行测笔试|腾讯产品offer:为什么斩获大厂Offer的浙大学员,会特别提到行测备考?

  • 2026-05-20 01:41:18
大厂行测笔试|腾讯产品offer:为什么斩获大厂Offer的浙大学员,会特别提到行测备考?

📌为什么一位成功斩获腾讯Offer的浙大学员,会特别提到行测备考?

因为当他在职计划完成从“学生思维”到“职业思维”的关键一跃时,突然顿悟:大厂行测,本质上是一场高浓缩的“职业潜力”压力测试。它考察的是隐藏在题目背后与你未来工作息息相关的核心能力:结构化理解、模式识别与逻辑量化!

🧩这篇文章不仅仅是一份真题分享,更是一次思维模式的“降维解读”。现在,让我们一同走进大厂行测的世界!

职计划76期学员、浙江大学、腾讯产品offer

📅学员背景

手握腾讯、京东等三段高含金量实习,却依然在转战产品岗的面试中屡屡碰壁;

📅职计划赋能

▶结构化重塑:将庞杂项目,按“背景-目标-动作-结果”的黄金逻辑链路进行拆解与重构;

▶表达精准化:通过高频模拟面试,拆解话术、定向爆破问题点,将抽象的能力要求转化为具象的表达策略;

▶思维产品化:不止于面试技巧,更引导他深度思考项目逻辑,将实习沉淀为可复用的方法论,真正掌握产品人的“结构化思维”。

📅职计划寄语

职计划坚信,真正的竞争力不在于简历上光鲜的点缀,而在于能否讲清每一个选择背后的逻辑与价值。

公司速览

🌐京东集团:从电商巨头到全球领先的新型实体企业

作为中国零售行业的变革者,京东以“技术为本,致力于更高效和可持续的世界”为使命,通过供应链创新与数智化布局持续定义行业标准:

✅全渠道零售生态:京东零售打造从线上商城(京东主站)、社区电商(京东拼拼)到线下门店(七鲜超市、京东电器超级体验店)的全场景消费矩阵;

✅在技术突破方面,京东已申请超4万项专利,在自动化仓储、智能调度、区块链溯源等领域保持行业领先;

✅产业赋能实践京东健康建成全国首个“互联网+医疗健康”生态;

区别于传统电商平台,京东依托自建物流与供应链中台能力,构建了“零售+物流+科技”三位一体的商业操作系统。

🌐从交易到信任,京东正在重新定义“新型实体企业”的价值边界。

了解之后,今天就让我们一起走进真题世界吧~

言语理解

1

题目1:

例题1:

绝密

启用前

2009年法国航空公司一架客机失事。如果法国及其他多国没有采取积极的搜救行动,就不会尽早发现失事飞机的残骸。如果失事飞机设计公司提供技术支持并且派专家参与失事原因分析,那么关于失事事件的调查报告就会更客观。

以上陈述如果为真,以下哪项不可能为假?

A.或者法国及其他多国采取积极的搜救行动,或者不会尽早发现失事飞机的残骸

B.除非失事飞机设计公司提供技术支持,否则就不会尽早发现失事飞机的残骸

C.如果法国及其他多国采取积极的搜救行动,就会尽早发现失事飞机的残骸

D.如果失事飞机设计公司提供技术支持,那么关于失事事件的调查报告就会更客观

解析

①翻译题干信息

▶如果法国及其他多国没有采取积极的搜救行动,就不会尽早发现失事飞机的残骸;

逻辑翻译:非“积极搜救”→非“尽早发现”;

▶如果失事飞机设计公司提供技术支持并且派专家参与失事原因分析,那么关于失事事件的调查报告就会更客观;

逻辑翻译:(技术支持∧专家参与)→报告客观;

②选项分析

A选项:积极搜救∨非“尽早发现”

运用定律:P→Q等价于¬P∨Q

根据①可知:

原命题:非“积极搜救”→非“尽早发现”;

等价于:积极搜救∨非“尽早发现”

与A选项完全一致,故A必然为真✅

正确答案:A

2

题目2:

例题2:

绝密

启用前

2013年公布的结果显示,全球已探明的天然气储量总计220亿立方米。天然气对全球能源的贡献占四分之一,以现在的消耗速率估算,仅能提供65年的能源供给。因此,为避免遭遇无天然气可用的困境,必须开发更多的替代性能源。

以下如果哪项为真,最能够反驳上述结论?

A.近年来,天然气对全球能源的贡献率正逐步下降

B.随着探测技术的发展,全球已探明的天然气储量大大高于以往

C.由于新技术的应用,能源的使用效率比以往已经有了一定提高

D.鉴于现代机械的设计习惯,天然气的能源地位无可替代

解析

①论证逻辑

基于现有探明储量与消耗速率,推出未来会出现短缺,因此必须开发替代能源。

②选项分析

A.说明天然气重要性在降低,但未直接反驳“未来短缺”的前提❌

B.直接否定“储量不足”的前提:如果实际储量远高于当前数据,则“仅能供应65年”的估算不成立,直接攻击论证基础✅

C.可能延长使用年限,但“一定提高”程度不明确且题干是“消耗速率”,选项是“使用效率”,概念不完全对应❌

D.实际上支持了结论(正因为不可替代,才更需开发新能源?但论证不直接),属于无关或支持项❌

正确答案:B

3

题目3:

例题3:

绝密

启用前

20世纪50年代以来,人类丢弃了多达10亿吨塑料,这种垃圾可能存在数百年甚至数千年。近日,一个科研小组在亚马逊雨林中发现一种名为内生菌的真菌,它能降解普通的聚氨酯塑料。科研人员认为利用这种真菌的特性,将有望帮助人类消除塑料垃圾所带来的威胁。

科研人员的判断还需基于以下哪一前提?

A.塑料垃圾是人类活动产生的最主要的废弃物种类

B.内生菌在任何条件下都可以很好地分解塑料制品

C.目前绝大多数塑料垃圾都属于普遍的聚氨酯塑料

D.这种真菌在地球上其他地区也能正常地存活生长

解析

①题干论证结构

▶事实:发现内生菌能降解普通聚氨酯塑料;

▶结论:利用该真菌有望帮助人类消除塑料垃圾威胁;

▶逻辑跳跃:从“能降解一种塑料”到“能消除塑料垃圾威胁”,中间缺失的必要条件就是需要寻找的前提。

②选项分析

A.即使不是最主要废弃物,只要存量足够大,消除其威胁仍有意义,非必要前提❌

B.“任何条件下”要求过强,过度假设,非必要前提❌

C.如果大多数塑料垃圾正是该真菌能降解的类型,则可推出“消除威胁”。若该假设不成立,则结论无效。是必要前提✅

D.有助于推广使用,但并非论证“有望消除威胁”的绝对必要前提❌

正确答案:C

4

题目4:

例题4:

绝密

启用前

“中国制造”是中国人的骄傲,“中国制造”开启了走向世界的全新一页。然而,当“世界工厂”的称号落户华夏大地,人们开始反思,“中国制造”难道是“中国加工”(大部分“中国制造”来自加工贸易,是附加值不高的劳动密集型产品)的代名词?

对这段话理解不准确的是:

A.“中国制造”虽然拉高的是我们的GDP,赚鼓的却是别人的腰包

B.“世界工厂”靠的是廉价劳动力成本、环境成本、资源和能源成本,还有粗放式经济发展模式

C.在全球性经济结构调整中,中国抓住了机遇,一举成为“世界工厂”

D.要注重提高经济增长质量和效益

解析

①文段结构分析

▶开头肯定:“中国制造”是骄傲,开启了世界新一页→先扬;

▶转折反思:然而,“世界工厂”称号引出反思→后抑;

▶核心反问:“中国制造”难道是“中国加工”的代名词?→质疑“世界工厂”本质;

▶态度把握:整体是对“世界工厂”称号的反思与质疑,认为其可能只是低附加值的加工,而非真正的制造强国。

②选项分析

A.对应文段:加工贸易、附加值不高;与文段反思态度一致✅

B.对应文段:劳动密集型产品、低附加值;与文段批评的实质一致✅

C.将“成为世界工厂”描述为“抓住了机遇”,带有积极、肯定色彩。而文段实际态度:对“世界工厂”称号持质疑、反思态度。明显与文段整体基调相悖❌

D.对应文段:反思低附加值加工模式,隐含需要提升质量与效益,属于合理引申✅

正确答案:C

5

题目5:

例题5:

绝密

启用前

《阿凡达》是卡梅隆花了12年才完成的一部片子,这12年里,他除了拍过几部跟海洋有关的纪录片之外,几乎都在为《阿凡达》折腾,同时消失于媒体和公众视线之外。结果影片上映才两周,全球票房就直奔10亿美元,离他那部创下14亿美元票房纪录的《泰坦尼克号》,距离也并不遥远。而中国导演呢,谁会花12年的时间,去做一部完全不知道前景的影片?中国电影另外一个很堕落的地方是,隐形广告已经多到令人发指的地步,铜臭气十足。冯小刚在《非诚勿扰》受到批评后还说,这是国际通行做法。对,《变形金刚》里的确有雪佛兰,但是好莱坞是每部影片都会尽可能地往里拉赞助塞商标么?我真的不是苛刻,但事实就是这样,很多中国导演不是为观众在拍电影,甚至也

不是为自己拍电影,他们只是为钱拍电影。相比之下,《阿凡达》是多么的纯洁,可为什么这份纯洁,反而是远比我们商业的美国人实现的呢?

对划横线的语句理解不恰当的一项是:

A.卡梅隆用了12年精心制作,其间,他几乎消失于媒体和个人公众视线之外

B.卡梅隆用12年的时间,去做了一部完全不知道前景的影片

C.《阿凡达》是导演卡梅隆为观众为自己而创作的一部电影

D.《阿凡达》是一部没有商业广告的纯洁电影

解析

①对比双方

▶中国导演/电影:被批评的特征是:急于求成(没人花12年做前景不明的片子)、铜臭气十足(隐形广告多到令人发指、为钱拍电影);

▶卡梅隆/《阿凡达》:作为正面例子被赞美,其特征应与上述中国电影的问题相反;

▶“纯洁”的含义推导:与“铜臭气十足”、“为钱拍电影”相对,应指创作动机的纯粹(为艺术、为观众),而非单纯指影片中不含商业广告;

②选项分析

A.这体现了专注、不急于求成、不为曝光度,与“纯洁”(动机纯粹)相符,理解恰当✅

B.这体现了对艺术本身的坚持,而非纯粹商业算计,与“纯洁”相符,理解恰当✅

C.直接点明了“纯洁”的核心:创作动机的纯粹(为自己、为观众),理解恰当✅

D.偷换概念:将“纯洁”(动机纯粹、艺术纯粹)狭义地理解为“没有商业广告”。并且文章并未断言《阿凡达》完全没有任何商业元素或广告,理解不恰当❌

正确答案:D

数学应用

1

题目1:

例题1:

绝密

启用前

部队组织新兵到野外进行拉练,行程每天增加2千米,已知去时用了4天,回来用了3天,目的地距离营地多少千米?

A.54

B.72

C.84

D.92

解析

设第一天走的路程为a千米,根据“每天增加2千米”:

根据“往返路程相等”(单程距离相同):

正确答案:C

2

题目2:

例题2:

绝密

启用前

参加阅兵式的官兵排成一个方阵,最外层的人数是80人,问这个方阵共有官兵多少人?

A.441

B.400

C.361

D.386

解析

①核心概念

方阵:行数与列数相等的矩阵队列;

方阵总人数=行数×列数=边长×边长;

②计算最外层总人数

按边算:4条边,每条边n人,总计4n人;

去重:每个角上的人被重复计算了一次(共4个角),因此需减去4;

正确答案:A

3

题目3:

例题3:

绝密

启用前

某钢铁厂生产一种特种钢材,由于原材料价格上涨,今年这种特种钢材的成本比去年上升了20%。为了推销该种钢材,钢铁厂仍然以去年的价格出售,这种钢材每吨的盈利下降40%,不过销售量比去年增加了80%,那么今年生产该种钢材的总盈利比去年增加了多少?

A.4%

B.8%

C.20%

D.54%

解析

①设置变量

▶赋值法

设去年的成本为100,则今年的成本为120;

设去年的销售量为100,则今年的销售量为180。

▶未知数X

设去年的售价为X(今年的售价与去年相同);

②列方程

根据今年与去年相比每吨的盈利下降40%

正确答案:B

4

题目4:

例题4:

绝密

启用前

书法大赛的观众对5幅作品进行不记名投票。每张选票都可以选择5幅作品中的任意一幅或多幅,但只有在选择不超过2幅作品时才为有效票。5幅作品的得票数(不考虑是否有效)分别为总票数的69%、63%、44%、58%和56%。问本次投票的有效率最高可能为多少?

A.65%

B.70%

C.75%

D.80%

解析

①题型识别

最值问题中的反向构造/极值思维;

②设定基数与计算总票数

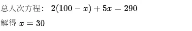
设总观众(总票数)为100人,则各作品得票数分别是:69、63、44、58、56票(总和超过100是因一票可投多幅);

③分析有效票与无效票对总人次的贡献

每张有效票(选≤2幅)最多贡献2人次;

每张无效票(选≥3幅)至少贡献3人次,最多贡献5人次;

目标:在总人次固定为290的情况下,让有效票数尽量多,即让无效票数尽量少;

反向构造:无效票数最少时,有效率最高;

④构建极值模型求解(设无效票数为x)

为使无效票数最少,应让每张无效票贡献的人次尽量多(即每张无效票都投满5幅作品,贡献5人次)。

因此,无效票数至少为30张,有效票数最多70张,有效率最高70%。

正确答案:B

5

题目5:

例题5:

绝密

启用前

8、8、12、24、60、()

A.90

B.120

C.180

D.240

解析

观察数列:后一项除以前一项得到的商,有一定规律:

得到新数列:1、1.5、2、2.5(等差数列,公差为0.5),因此

则?=180

正确答案:C

图形推理

1

题目1:

例题1:

绝密

启用前

以下图形按规律分成两组:

A.  ①③⑥、②④⑤ 

B.  ①②③、④⑤⑥

C.  ①②④、③⑤⑥  

D.  ①④⑥、②③⑤

解析

①整体观察图形

所有图形均由多边形外框+内部黑色圆形组成;

②分析规律

题干图形外框边数依次为4、5、7、3、4、6

图形内部黑圆数量依次为6、3、5、5、2、8

可发现:

①④⑥:内部黑圆数量-外框边数=2

②③⑤:外框边数-内部黑圆数量=2

正确答案:D

2

题目2:

例题2:

绝密

启用前

在所给的选项中,选择最合适的一项填入问号处?

A.

B.

C.

D.

解析

本题考查图形直线数量的规律:

①题干图形均为字母(均由直线或曲线组成),考虑直线数量:题干图形的直线数分别为0、1、2、3、?

②问号处图形的直线数应为4,对应选项D。

正确答案:D

3

题目3:

例题3:

绝密

启用前

在所给的选项中,选择最合适的一项填入问号处?

A.

B.

C.

D.

解析

本题考查规律为列的移动规律:

①按列观察,可发现:

▶上一个图形的1、2、3列依次向右移动两列变为下个图形的3、4、5列;

▶上一个图形的4、5列依次向右移动两列且内部黑球位置依次向下移动一格,变为下个图形的1、2列;

②根据移动规律,问号处图形对应选项A。

正确答案:A

4

题目4:

例题4:

绝密

启用前

在所给的选项中,选择最合适的一项填入问号处?

A.

B.

C.

D.

解析

本题考查直线数量类规律:

①题干图形由外框矩形+矩形内部若干直线构成,考虑直线数量;

②题干图形矩形内含有直线数量依次为:1、2、3、4、?(依次+1),那么问号处矩形内的直线数应为4+1=5条,对应选项D。

正确答案:D

5

题目5:

例题5:

绝密

启用前

找出下列图形中不同于其他图形的一项:

A.

B.

C.

D.

E.

解析

本题考查图形叠加规律:

①通过观察可知题干图形均由三个基础图形组成,图形之间存在叠加区域;

②确认核心规律:三个基础图形是否全部两两相交;

③通过观察可发现只有选项B的三个基本图形形成了两两相互叠加的完整关系。

正确答案:B

以上就是本期的大厂真题卷分享啦!你回答的如何?欢迎留言讨论~

点击顶部关注【职计划行测攻略】,不再错过更新,你将收获更多大厂上岸经验~

注:本文部分解题方法论参考行业通用培训资料,结合笔者实战经验总结而成。例题来源于历史考题,各企业每年题型可能调整,备考时建议结合官方考纲与当年真题双向验证。如遇到新题目欢迎读者投稿交流~

大厂在职L8产品专家每场课价值20万的产品经理,累计辅导1500+同学收获高薪产品offer,进入各互联网一线大厂,包括但不限于:京东管培、腾讯、美团、字节跳动、百度、阿里、快手、拼多多管培、微软、携程、360、华为、爱奇艺、小红书、哔哩哔哩等SP/SSP offer

就业形势严峻,加入【职计划】大家庭,成就每个年轻人的职业梦想!

与梦追 | Live House

我们三五成群

<<<  END >>>

最新文章

随机文章

基本 文件 流程 错误 SQL 调试
  1. 请求信息 : 2026-05-22 05:55:52 HTTP/2.0 GET : https://c.15386.cn/a/457988.html
  2. 运行时间 : 0.210815s [ 吞吐率:4.74req/s ] 内存消耗:4,990.18kb 文件加载:140
  3. 缓存信息 : 0 reads,0 writes
  4. 会话信息 : SESSION_ID=890657a5b8003981d6a5b99f4404a927
  1. /yingpanguazai/ssd/ssd1/www/c.15386.cn/public/index.php ( 0.79 KB )
  2. /yingpanguazai/ssd/ssd1/www/c.15386.cn/vendor/autoload.php ( 0.17 KB )
  3. /yingpanguazai/ssd/ssd1/www/c.15386.cn/vendor/composer/autoload_real.php ( 2.49 KB )
  4. /yingpanguazai/ssd/ssd1/www/c.15386.cn/vendor/composer/platform_check.php ( 0.90 KB )
  5. /yingpanguazai/ssd/ssd1/www/c.15386.cn/vendor/composer/ClassLoader.php ( 14.03 KB )
  6. /yingpanguazai/ssd/ssd1/www/c.15386.cn/vendor/composer/autoload_static.php ( 4.90 KB )
  7. /yingpanguazai/ssd/ssd1/www/c.15386.cn/vendor/topthink/think-helper/src/helper.php ( 8.34 KB )
  8. /yingpanguazai/ssd/ssd1/www/c.15386.cn/vendor/topthink/think-validate/src/helper.php ( 2.19 KB )
  9. /yingpanguazai/ssd/ssd1/www/c.15386.cn/vendor/topthink/think-orm/src/helper.php ( 1.47 KB )
  10. /yingpanguazai/ssd/ssd1/www/c.15386.cn/vendor/topthink/think-orm/stubs/load_stubs.php ( 0.16 KB )
  11. /yingpanguazai/ssd/ssd1/www/c.15386.cn/vendor/topthink/framework/src/think/Exception.php ( 1.69 KB )
  12. /yingpanguazai/ssd/ssd1/www/c.15386.cn/vendor/topthink/think-container/src/Facade.php ( 2.71 KB )
  13. /yingpanguazai/ssd/ssd1/www/c.15386.cn/vendor/symfony/deprecation-contracts/function.php ( 0.99 KB )
  14. /yingpanguazai/ssd/ssd1/www/c.15386.cn/vendor/symfony/polyfill-mbstring/bootstrap.php ( 8.26 KB )
  15. /yingpanguazai/ssd/ssd1/www/c.15386.cn/vendor/symfony/polyfill-mbstring/bootstrap80.php ( 9.78 KB )
  16. /yingpanguazai/ssd/ssd1/www/c.15386.cn/vendor/symfony/var-dumper/Resources/functions/dump.php ( 1.49 KB )
  17. /yingpanguazai/ssd/ssd1/www/c.15386.cn/vendor/topthink/think-dumper/src/helper.php ( 0.18 KB )
  18. /yingpanguazai/ssd/ssd1/www/c.15386.cn/vendor/symfony/var-dumper/VarDumper.php ( 4.30 KB )
  19. /yingpanguazai/ssd/ssd1/www/c.15386.cn/vendor/topthink/framework/src/think/App.php ( 15.30 KB )
  20. /yingpanguazai/ssd/ssd1/www/c.15386.cn/vendor/topthink/think-container/src/Container.php ( 15.76 KB )
  21. /yingpanguazai/ssd/ssd1/www/c.15386.cn/vendor/psr/container/src/ContainerInterface.php ( 1.02 KB )
  22. /yingpanguazai/ssd/ssd1/www/c.15386.cn/app/provider.php ( 0.19 KB )
  23. /yingpanguazai/ssd/ssd1/www/c.15386.cn/vendor/topthink/framework/src/think/Http.php ( 6.04 KB )
  24. /yingpanguazai/ssd/ssd1/www/c.15386.cn/vendor/topthink/think-helper/src/helper/Str.php ( 7.29 KB )
  25. /yingpanguazai/ssd/ssd1/www/c.15386.cn/vendor/topthink/framework/src/think/Env.php ( 4.68 KB )
  26. /yingpanguazai/ssd/ssd1/www/c.15386.cn/app/common.php ( 0.03 KB )
  27. /yingpanguazai/ssd/ssd1/www/c.15386.cn/vendor/topthink/framework/src/helper.php ( 18.78 KB )
  28. /yingpanguazai/ssd/ssd1/www/c.15386.cn/vendor/topthink/framework/src/think/Config.php ( 5.54 KB )
  29. /yingpanguazai/ssd/ssd1/www/c.15386.cn/config/app.php ( 0.95 KB )
  30. /yingpanguazai/ssd/ssd1/www/c.15386.cn/config/cache.php ( 0.78 KB )
  31. /yingpanguazai/ssd/ssd1/www/c.15386.cn/config/console.php ( 0.23 KB )
  32. /yingpanguazai/ssd/ssd1/www/c.15386.cn/config/cookie.php ( 0.56 KB )
  33. /yingpanguazai/ssd/ssd1/www/c.15386.cn/config/database.php ( 2.48 KB )
  34. /yingpanguazai/ssd/ssd1/www/c.15386.cn/vendor/topthink/framework/src/think/facade/Env.php ( 1.67 KB )
  35. /yingpanguazai/ssd/ssd1/www/c.15386.cn/config/filesystem.php ( 0.61 KB )
  36. /yingpanguazai/ssd/ssd1/www/c.15386.cn/config/lang.php ( 0.91 KB )
  37. /yingpanguazai/ssd/ssd1/www/c.15386.cn/config/log.php ( 1.35 KB )
  38. /yingpanguazai/ssd/ssd1/www/c.15386.cn/config/middleware.php ( 0.19 KB )
  39. /yingpanguazai/ssd/ssd1/www/c.15386.cn/config/route.php ( 1.89 KB )
  40. /yingpanguazai/ssd/ssd1/www/c.15386.cn/config/session.php ( 0.57 KB )
  41. /yingpanguazai/ssd/ssd1/www/c.15386.cn/config/trace.php ( 0.34 KB )
  42. /yingpanguazai/ssd/ssd1/www/c.15386.cn/config/view.php ( 0.82 KB )
  43. /yingpanguazai/ssd/ssd1/www/c.15386.cn/app/event.php ( 0.25 KB )
  44. /yingpanguazai/ssd/ssd1/www/c.15386.cn/vendor/topthink/framework/src/think/Event.php ( 7.67 KB )
  45. /yingpanguazai/ssd/ssd1/www/c.15386.cn/app/service.php ( 0.13 KB )
  46. /yingpanguazai/ssd/ssd1/www/c.15386.cn/app/AppService.php ( 0.26 KB )
  47. /yingpanguazai/ssd/ssd1/www/c.15386.cn/vendor/topthink/framework/src/think/Service.php ( 1.64 KB )
  48. /yingpanguazai/ssd/ssd1/www/c.15386.cn/vendor/topthink/framework/src/think/Lang.php ( 7.35 KB )
  49. /yingpanguazai/ssd/ssd1/www/c.15386.cn/vendor/topthink/framework/src/lang/zh-cn.php ( 13.70 KB )
  50. /yingpanguazai/ssd/ssd1/www/c.15386.cn/vendor/topthink/framework/src/think/initializer/Error.php ( 3.31 KB )
  51. /yingpanguazai/ssd/ssd1/www/c.15386.cn/vendor/topthink/framework/src/think/initializer/RegisterService.php ( 1.33 KB )
  52. /yingpanguazai/ssd/ssd1/www/c.15386.cn/vendor/services.php ( 0.14 KB )
  53. /yingpanguazai/ssd/ssd1/www/c.15386.cn/vendor/topthink/framework/src/think/service/PaginatorService.php ( 1.52 KB )
  54. /yingpanguazai/ssd/ssd1/www/c.15386.cn/vendor/topthink/framework/src/think/service/ValidateService.php ( 0.99 KB )
  55. /yingpanguazai/ssd/ssd1/www/c.15386.cn/vendor/topthink/framework/src/think/service/ModelService.php ( 2.04 KB )
  56. /yingpanguazai/ssd/ssd1/www/c.15386.cn/vendor/topthink/think-trace/src/Service.php ( 0.77 KB )
  57. /yingpanguazai/ssd/ssd1/www/c.15386.cn/vendor/topthink/framework/src/think/Middleware.php ( 6.72 KB )
  58. /yingpanguazai/ssd/ssd1/www/c.15386.cn/vendor/topthink/framework/src/think/initializer/BootService.php ( 0.77 KB )
  59. /yingpanguazai/ssd/ssd1/www/c.15386.cn/vendor/topthink/think-orm/src/Paginator.php ( 11.86 KB )
  60. /yingpanguazai/ssd/ssd1/www/c.15386.cn/vendor/topthink/think-validate/src/Validate.php ( 63.20 KB )
  61. /yingpanguazai/ssd/ssd1/www/c.15386.cn/vendor/topthink/think-orm/src/Model.php ( 23.55 KB )
  62. /yingpanguazai/ssd/ssd1/www/c.15386.cn/vendor/topthink/think-orm/src/model/concern/Attribute.php ( 21.05 KB )
  63. /yingpanguazai/ssd/ssd1/www/c.15386.cn/vendor/topthink/think-orm/src/model/concern/AutoWriteData.php ( 4.21 KB )
  64. /yingpanguazai/ssd/ssd1/www/c.15386.cn/vendor/topthink/think-orm/src/model/concern/Conversion.php ( 6.44 KB )
  65. /yingpanguazai/ssd/ssd1/www/c.15386.cn/vendor/topthink/think-orm/src/model/concern/DbConnect.php ( 5.16 KB )
  66. /yingpanguazai/ssd/ssd1/www/c.15386.cn/vendor/topthink/think-orm/src/model/concern/ModelEvent.php ( 2.33 KB )
  67. /yingpanguazai/ssd/ssd1/www/c.15386.cn/vendor/topthink/think-orm/src/model/concern/RelationShip.php ( 28.29 KB )
  68. /yingpanguazai/ssd/ssd1/www/c.15386.cn/vendor/topthink/think-helper/src/contract/Arrayable.php ( 0.09 KB )
  69. /yingpanguazai/ssd/ssd1/www/c.15386.cn/vendor/topthink/think-helper/src/contract/Jsonable.php ( 0.13 KB )
  70. /yingpanguazai/ssd/ssd1/www/c.15386.cn/vendor/topthink/think-orm/src/model/contract/Modelable.php ( 0.09 KB )
  71. /yingpanguazai/ssd/ssd1/www/c.15386.cn/vendor/topthink/framework/src/think/Db.php ( 2.88 KB )
  72. /yingpanguazai/ssd/ssd1/www/c.15386.cn/vendor/topthink/think-orm/src/DbManager.php ( 8.52 KB )
  73. /yingpanguazai/ssd/ssd1/www/c.15386.cn/vendor/topthink/framework/src/think/Log.php ( 6.28 KB )
  74. /yingpanguazai/ssd/ssd1/www/c.15386.cn/vendor/topthink/framework/src/think/Manager.php ( 3.92 KB )
  75. /yingpanguazai/ssd/ssd1/www/c.15386.cn/vendor/psr/log/src/LoggerTrait.php ( 2.69 KB )
  76. /yingpanguazai/ssd/ssd1/www/c.15386.cn/vendor/psr/log/src/LoggerInterface.php ( 2.71 KB )
  77. /yingpanguazai/ssd/ssd1/www/c.15386.cn/vendor/topthink/framework/src/think/Cache.php ( 4.92 KB )
  78. /yingpanguazai/ssd/ssd1/www/c.15386.cn/vendor/psr/simple-cache/src/CacheInterface.php ( 4.71 KB )
  79. /yingpanguazai/ssd/ssd1/www/c.15386.cn/vendor/topthink/think-helper/src/helper/Arr.php ( 16.63 KB )
  80. /yingpanguazai/ssd/ssd1/www/c.15386.cn/vendor/topthink/framework/src/think/cache/driver/File.php ( 7.84 KB )
  81. /yingpanguazai/ssd/ssd1/www/c.15386.cn/vendor/topthink/framework/src/think/cache/Driver.php ( 9.03 KB )
  82. /yingpanguazai/ssd/ssd1/www/c.15386.cn/vendor/topthink/framework/src/think/contract/CacheHandlerInterface.php ( 1.99 KB )
  83. /yingpanguazai/ssd/ssd1/www/c.15386.cn/app/Request.php ( 0.09 KB )
  84. /yingpanguazai/ssd/ssd1/www/c.15386.cn/vendor/topthink/framework/src/think/Request.php ( 55.78 KB )
  85. /yingpanguazai/ssd/ssd1/www/c.15386.cn/app/middleware.php ( 0.25 KB )
  86. /yingpanguazai/ssd/ssd1/www/c.15386.cn/vendor/topthink/framework/src/think/Pipeline.php ( 2.61 KB )
  87. /yingpanguazai/ssd/ssd1/www/c.15386.cn/vendor/topthink/think-trace/src/TraceDebug.php ( 3.40 KB )
  88. /yingpanguazai/ssd/ssd1/www/c.15386.cn/vendor/topthink/framework/src/think/middleware/SessionInit.php ( 1.94 KB )
  89. /yingpanguazai/ssd/ssd1/www/c.15386.cn/vendor/topthink/framework/src/think/Session.php ( 1.80 KB )
  90. /yingpanguazai/ssd/ssd1/www/c.15386.cn/vendor/topthink/framework/src/think/session/driver/File.php ( 6.27 KB )
  91. /yingpanguazai/ssd/ssd1/www/c.15386.cn/vendor/topthink/framework/src/think/contract/SessionHandlerInterface.php ( 0.87 KB )
  92. /yingpanguazai/ssd/ssd1/www/c.15386.cn/vendor/topthink/framework/src/think/session/Store.php ( 7.12 KB )
  93. /yingpanguazai/ssd/ssd1/www/c.15386.cn/vendor/topthink/framework/src/think/Route.php ( 23.73 KB )
  94. /yingpanguazai/ssd/ssd1/www/c.15386.cn/vendor/topthink/framework/src/think/route/RuleName.php ( 5.75 KB )
  95. /yingpanguazai/ssd/ssd1/www/c.15386.cn/vendor/topthink/framework/src/think/route/Domain.php ( 2.53 KB )
  96. /yingpanguazai/ssd/ssd1/www/c.15386.cn/vendor/topthink/framework/src/think/route/RuleGroup.php ( 22.43 KB )
  97. /yingpanguazai/ssd/ssd1/www/c.15386.cn/vendor/topthink/framework/src/think/route/Rule.php ( 26.95 KB )
  98. /yingpanguazai/ssd/ssd1/www/c.15386.cn/vendor/topthink/framework/src/think/route/RuleItem.php ( 9.78 KB )
  99. /yingpanguazai/ssd/ssd1/www/c.15386.cn/route/app.php ( 1.72 KB )
  100. /yingpanguazai/ssd/ssd1/www/c.15386.cn/vendor/topthink/framework/src/think/facade/Route.php ( 4.70 KB )
  101. /yingpanguazai/ssd/ssd1/www/c.15386.cn/vendor/topthink/framework/src/think/route/dispatch/Controller.php ( 4.74 KB )
  102. /yingpanguazai/ssd/ssd1/www/c.15386.cn/vendor/topthink/framework/src/think/route/Dispatch.php ( 10.44 KB )
  103. /yingpanguazai/ssd/ssd1/www/c.15386.cn/app/controller/Index.php ( 4.81 KB )
  104. /yingpanguazai/ssd/ssd1/www/c.15386.cn/app/BaseController.php ( 2.05 KB )
  105. /yingpanguazai/ssd/ssd1/www/c.15386.cn/vendor/topthink/think-orm/src/facade/Db.php ( 0.93 KB )
  106. /yingpanguazai/ssd/ssd1/www/c.15386.cn/vendor/topthink/think-orm/src/db/connector/Mysql.php ( 5.44 KB )
  107. /yingpanguazai/ssd/ssd1/www/c.15386.cn/vendor/topthink/think-orm/src/db/PDOConnection.php ( 52.47 KB )
  108. /yingpanguazai/ssd/ssd1/www/c.15386.cn/vendor/topthink/think-orm/src/db/Connection.php ( 8.39 KB )
  109. /yingpanguazai/ssd/ssd1/www/c.15386.cn/vendor/topthink/think-orm/src/db/ConnectionInterface.php ( 4.57 KB )
  110. /yingpanguazai/ssd/ssd1/www/c.15386.cn/vendor/topthink/think-orm/src/db/builder/Mysql.php ( 16.58 KB )
  111. /yingpanguazai/ssd/ssd1/www/c.15386.cn/vendor/topthink/think-orm/src/db/Builder.php ( 24.06 KB )
  112. /yingpanguazai/ssd/ssd1/www/c.15386.cn/vendor/topthink/think-orm/src/db/BaseBuilder.php ( 27.50 KB )
  113. /yingpanguazai/ssd/ssd1/www/c.15386.cn/vendor/topthink/think-orm/src/db/Query.php ( 15.71 KB )
  114. /yingpanguazai/ssd/ssd1/www/c.15386.cn/vendor/topthink/think-orm/src/db/BaseQuery.php ( 45.13 KB )
  115. /yingpanguazai/ssd/ssd1/www/c.15386.cn/vendor/topthink/think-orm/src/db/concern/TimeFieldQuery.php ( 7.43 KB )
  116. /yingpanguazai/ssd/ssd1/www/c.15386.cn/vendor/topthink/think-orm/src/db/concern/AggregateQuery.php ( 3.26 KB )
  117. /yingpanguazai/ssd/ssd1/www/c.15386.cn/vendor/topthink/think-orm/src/db/concern/ModelRelationQuery.php ( 20.07 KB )
  118. /yingpanguazai/ssd/ssd1/www/c.15386.cn/vendor/topthink/think-orm/src/db/concern/ParamsBind.php ( 3.66 KB )
  119. /yingpanguazai/ssd/ssd1/www/c.15386.cn/vendor/topthink/think-orm/src/db/concern/ResultOperation.php ( 7.01 KB )
  120. /yingpanguazai/ssd/ssd1/www/c.15386.cn/vendor/topthink/think-orm/src/db/concern/WhereQuery.php ( 19.37 KB )
  121. /yingpanguazai/ssd/ssd1/www/c.15386.cn/vendor/topthink/think-orm/src/db/concern/JoinAndViewQuery.php ( 7.11 KB )
  122. /yingpanguazai/ssd/ssd1/www/c.15386.cn/vendor/topthink/think-orm/src/db/concern/TableFieldInfo.php ( 2.63 KB )
  123. /yingpanguazai/ssd/ssd1/www/c.15386.cn/vendor/topthink/think-orm/src/db/concern/Transaction.php ( 2.77 KB )
  124. /yingpanguazai/ssd/ssd1/www/c.15386.cn/vendor/topthink/framework/src/think/log/driver/File.php ( 5.96 KB )
  125. /yingpanguazai/ssd/ssd1/www/c.15386.cn/vendor/topthink/framework/src/think/contract/LogHandlerInterface.php ( 0.86 KB )
  126. /yingpanguazai/ssd/ssd1/www/c.15386.cn/vendor/topthink/framework/src/think/log/Channel.php ( 3.89 KB )
  127. /yingpanguazai/ssd/ssd1/www/c.15386.cn/vendor/topthink/framework/src/think/event/LogRecord.php ( 1.02 KB )
  128. /yingpanguazai/ssd/ssd1/www/c.15386.cn/vendor/topthink/think-helper/src/Collection.php ( 16.47 KB )
  129. /yingpanguazai/ssd/ssd1/www/c.15386.cn/vendor/topthink/framework/src/think/facade/View.php ( 1.70 KB )
  130. /yingpanguazai/ssd/ssd1/www/c.15386.cn/vendor/topthink/framework/src/think/View.php ( 4.39 KB )
  131. /yingpanguazai/ssd/ssd1/www/c.15386.cn/vendor/topthink/framework/src/think/Response.php ( 8.81 KB )
  132. /yingpanguazai/ssd/ssd1/www/c.15386.cn/vendor/topthink/framework/src/think/response/View.php ( 3.29 KB )
  133. /yingpanguazai/ssd/ssd1/www/c.15386.cn/vendor/topthink/framework/src/think/Cookie.php ( 6.06 KB )
  134. /yingpanguazai/ssd/ssd1/www/c.15386.cn/vendor/topthink/think-view/src/Think.php ( 8.38 KB )
  135. /yingpanguazai/ssd/ssd1/www/c.15386.cn/vendor/topthink/framework/src/think/contract/TemplateHandlerInterface.php ( 1.60 KB )
  136. /yingpanguazai/ssd/ssd1/www/c.15386.cn/vendor/topthink/think-template/src/Template.php ( 46.61 KB )
  137. /yingpanguazai/ssd/ssd1/www/c.15386.cn/vendor/topthink/think-template/src/template/driver/File.php ( 2.41 KB )
  138. /yingpanguazai/ssd/ssd1/www/c.15386.cn/vendor/topthink/think-template/src/template/contract/DriverInterface.php ( 0.86 KB )
  139. /yingpanguazai/ssd/ssd1/www/c.15386.cn/runtime/temp/40f80deb92a91d097c4b967aecf15f1e.php ( 12.06 KB )
  140. /yingpanguazai/ssd/ssd1/www/c.15386.cn/vendor/topthink/think-trace/src/Html.php ( 4.42 KB )
  1. CONNECT:[ UseTime:0.001013s ] mysql:host=127.0.0.1;port=3306;dbname=c_15386;charset=utf8mb4
  2. SHOW FULL COLUMNS FROM `fenlei` [ RunTime:0.001678s ]
  3. SELECT * FROM `fenlei` WHERE `fid` = 0 [ RunTime:0.000767s ]
  4. SELECT * FROM `fenlei` WHERE `fid` = 63 [ RunTime:0.002016s ]
  5. SHOW FULL COLUMNS FROM `set` [ RunTime:0.001664s ]
  6. SELECT * FROM `set` [ RunTime:0.002657s ]
  7. SHOW FULL COLUMNS FROM `article` [ RunTime:0.001820s ]
  8. SELECT * FROM `article` WHERE `id` = 457988 LIMIT 1 [ RunTime:0.001362s ]
  9. UPDATE `article` SET `lasttime` = 1779400552 WHERE `id` = 457988 [ RunTime:0.009228s ]
  10. SELECT * FROM `fenlei` WHERE `id` = 65 LIMIT 1 [ RunTime:0.000726s ]
  11. SELECT * FROM `article` WHERE `id` < 457988 ORDER BY `id` DESC LIMIT 1 [ RunTime:0.001398s ]
  12. SELECT * FROM `article` WHERE `id` > 457988 ORDER BY `id` ASC LIMIT 1 [ RunTime:0.001151s ]
  13. SELECT * FROM `article` WHERE `id` < 457988 ORDER BY `id` DESC LIMIT 10 [ RunTime:0.004996s ]
  14. SELECT * FROM `article` WHERE `id` < 457988 ORDER BY `id` DESC LIMIT 10,10 [ RunTime:0.007676s ]
  15. SELECT * FROM `article` WHERE `id` < 457988 ORDER BY `id` DESC LIMIT 20,10 [ RunTime:0.018259s ]
0.212524s