当前位置:首页>央企考试真题>大厂行测笔试|货拉拉产品经理SSPoffer:战略型选手!独角兽顶级offer!真香!

大厂行测笔试|货拉拉产品经理SSPoffer:战略型选手!独角兽顶级offer!真香!

  • 2026-05-20 22:16:23
大厂行测笔试|货拉拉产品经理SSPoffer:战略型选手!独角兽顶级offer!真香!

如果屏幕前的你也在求职大厂的路上受挫,是否想过:除了继续死磕,或许还可以悄悄调整路径,在看似非常规的选择中,拿到更好的结果?

🔍今天要分享经验的,正是这样一位“战略性选手”

他没有陷入“非大厂不可”的单一战场,而是同步转战独角兽企业,进行精准网申:如今已手握货拉拉SSPoffer:23k×16薪,并准备签约实习、同步备战春招!

整个过程没有盲目内卷,没有固执死磕,却拿到比许多“纯大厂路线”更早、更稳的结果。

🧩这背后,除了求职策略的差异化,还有一个常被忽略却至关重要的环节:行测笔试,尤其是言语、数理、图推三大模块的破解能力!而不管是求职策略、面试技巧还是笔试备战,你都可以在职计划找到答案。

职计划68期、南京农业/同济大学、货拉拉-SSP23k*16产品经理offer

📅学员背景

▶专业较冷门,想转行却不知从何开始;

▶只有一段偏运营的实习,产品经历几乎为空白;

▶导师科研任务重,大部分时间困在学校,没法外出实习;

📅职计划赋能

从产品小白到拿下货拉拉SSPoffer并没有奇迹般的逆袭剧本,只是做对了一件事:在关键成长期,选择被系统赋能,而非独自试错。

▶产品思维训练:快速补足产品方法论与项目构建能力,将过去“偏运营”的经历转化为“懂用户、能闭环”的产品表达;

▶面试模拟+复盘:通过真实业务场景面试模拟,帮助学员展现系统思考与业务手感;

▶持续性成长陪伴:提供求职全周期陪伴服务,通过行业洞察更新、项目经验打磨、求职策略调整,确保学员在蓄力阶段持续进化,当时机来临时能迅速抓住机会。

公司速览

🌐货拉拉:从同城货运平台到全球物流科技领导者

作为全球物流领域的创新推动者,货拉拉以“让货物出行更轻松”为使命,通过科技驱动与模式创新持续重构货运服务生态:

✅智慧货运平台:货拉拉构建了以“实时匹配”为核心的智能运力系统,覆盖同城货运、跨城货运、企业物流、搬家服务及国际业务等多场景业务矩阵;

✅技术架构突破:货拉拉深耕智能调度系统与供需预测算法,在路线规划、运力动态调配、订单效率提升等方面实现全链路数字化协同;

✅产业生态赋能:货拉拉通过“智慧物流+”模式助力中小商户与个体司机增效增收;

区别于传统货运中介模式,货拉拉以“便捷、透明、可信”为核心,依托数据智能与网络效应,构建了“即时响应+全程可溯”的现代物流服务平台。

🌐从连接车货到赋能生态,货拉拉正持续推动物流行业的数字化转型与效率革命。

了解之后,今天就让我们一起走进真题世界吧~

言语理解

1

题目1:

例题1:

绝密

启用前

2005年上海市邀请英国的曼联俱乐部来沪进行友谊赛。仅仅一天时间,主办方的票房总收入就达到了八百万元。这一次上海市又邀请了西班牙的皇马俱乐部进行友谊赛,加上在赛场内的各项与球迷的互动活动,主办方准备在2天内取得一千万元的票房收入。

以上推断最可能隐含了以下哪项假设?

A.这次活动进行两天比上次多出一倍的时间,可以吸引更多的球迷

B.上海市很多人了错过了曼联的比赛,这一次可以得到补偿

C.球迷对这两个俱乐部的喜爱程度、预计的上座率、票价等非常类似

D.这一次主办方推出了互动活动,有更多的球迷可以参与

解析

①识别论证结构

题干通过类比曼联俱乐部案例来预测皇马俱乐部的票房收入,属于类比推理类论证。类比推理成立的前提是:两个被比较对象在关键属性上具有相似性。

②选项分析

本题中,要由“曼联一天收入800万”推出“皇马两天能收入1000万”,必须假设两者在影响票房的核心因素上基本一致,而C选项直接说明两队在上座率、票价等关键因素上类似,填补了类比逻辑缺口✅

正确答案:C

2

题目2:

例题2:

绝密

启用前

2005年至2006年,从“超女”热到“胡戈们”旺,从北京的郭德纲到上海的蔡嘎亮……来自民间的、鲜活泼辣的、不登大雅之堂的“草根文化”正以惊人的速度走红。面对这样一个群体或群体文化,欣赏的人会夸一句“来自群众,贴近群众”,不欣赏的人则不屑地按上评语——低俗、哗众取宠。

上述欣赏的人的议论是基于以下哪项假设?

A.心连心是“草根文化”成功的最大资本

B.“草根文化”的“俗”吸引人们

C.原生态的东西是有生命力的东西

D.从宋词元曲到京剧都经历过由草根到庙堂的过程

解析

①分析题干逻辑

题干讨论的是欣赏者对“草根文化”持肯定态度的逻辑依据,而非对“草根文化”现象本身的解释。

欣赏者的逻辑是:因为草根文化“来自群众,贴近群众”,所以欣赏它。根植于民间、自然生长的“草根文化”对广大受众而言有一种天然的亲和力,而其“民间”的身份也更容易得到大众认可。

②选项分析

A选项中的“心连心”贴合逻辑,对应题干的“贴近群众”,建立了“贴近群众”(心连心)与“成功/值得欣赏”之间的因果关系,是论证成立的必要条件✅

正确答案:A

3

题目3:

例题3:

绝密

启用前

2007年6月,科学家宣布,他们用小鼠皮肤细胞培养出诱导性多功能干细胞,这些诱导性多功能干细胞能产生身体内包括卵子和精子在内的所有细胞,具有与胚胎干细胞相同的功效。同年11月,科学家再次报告说,他们成功地用人类皮肤细胞培养出了诱导性多功能干细胞。这项研究解决了胚胎干细胞研究所面临的伦理问题。

由此不能得出的是:

A.用人类皮肤细胞仿制出胚胎干细胞

B.今后将彻底改变干细胞研究的科学与政策

C.今后将为生物医学研究开辟新的方向

D.伦理问题与生物医学研究方向关系不大

解析

①梳理题干逻辑链

小鼠皮肤细胞→诱导性多功能干细胞→能产生所有细胞(功效同胚胎干细胞);

人类皮肤细胞→同样能培养出诱导性多功能干细胞;

该研究→解决了胚胎干细胞研究的伦理问题;

②选项分析

A.由“人类皮肤细胞培养出诱导性多功能干细胞”+“该干细胞具有与胚胎干细胞相同功效”,可合理推知这是对胚胎干细胞功能的仿制。属于可推导信息✅

B.“彻底改变干细胞研究的科学与政策”中,“彻底改变”属程度较强但结合“解决伦理问题”及技术突破,属于合理推论范畴✅

C.“为生物医学研究开辟新方向”可从技术突破和解决伦理瓶颈中合理推出✅

D.题干最后明确说该研究“解决了胚胎干细胞研究所面临的伦理问题”,这直接表明伦理问题与生物医学研究方向关系密切,D选项说“关系不大”与题干信息直接矛盾❌

正确答案:D

4

题目4:

例题4:

绝密

启用前

2008年北京奥运会上争夺奖牌的事实,使我们明白了一个道理:在失败还未成为最后的事实时,决不能轻易接受失败!在胜利尚存一丝微弱的希望时,仍要拼尽全力去争取胜利!否则,就不是真正的强者。

由上述题干可推出以下哪个选项?

A.没有随随便便的成功,成功都来自拼搏

B.弱者会轻易地接受失败

C.真正的强者决不接受失败

D.只有在失败成为不可改变的事实时,真正的强者才会接受失败

解析

①分析题干逻辑

核心条件:①失败未成最后事实→不轻易接受;②胜利尚存微弱希望→拼尽全力;

核心结论:否则(即违反上述原则)就不是真正的强者;

逆否推理:真正的强者→必须满足上述原则;

②选项分析

A.题干只说"拼尽全力争取胜利",未讨论所有成功来源,范围扩大,无法必然推出❌

B.题干只讨论强者特征,未定义弱者行为,属主观推测,无法必然推出❌

C.题干只说"不轻易接受",并非"决不接受",且后文暗示当失败成为事实时可能接受,绝对化表述错误❌

D.是题干条件的逻辑等价表述:

题干:在失败还未成为最后事实时,不轻易接受;

其逆否:如果接受失败→失败已成为最后事实;

加入"真正的强者"这一前提→与D表述一致,可必然推出✅

正确答案:D

5

题目5:

例题5:

绝密

启用前

2008年以来,索马里附近海域先后发生累计120起海盗劫船事件。海盗何以猖獗?甲乙丙丁四人有断定如下:甲:海盗猖獗的主因是被劫船只的船主通常都愿支付高额赎金。乙:如果海盗猖獗的主因是被劫船主愿意支付高额赎金,那么肯定会助长了海盗的气焰。丙:确实助长了海盗的气焰,但其主因并非被劫船主都愿意支付高额赎金。丁:海盗猖獗主因是被劫船主愿支付高额赎金,但其嚣张气焰并非由此生成。

如果上述断定只有一个人的断定为真,那么以下断定不可能为真,除了?

A.甲

B.乙

C.丙

D.丁

解析

①符号化表述

设:P:海盗猖獗的主因是船主愿支付高额赎金;Q:助长了海盗的气焰;

则四人的话翻译为逻辑表达式:

②寻找矛盾关系

对比乙和丁,可知两者为矛盾关系,因此乙和丁必有一真一假。已知只有一人为真,而乙和丁已占一真一假,因此甲和丙均为假。

③由假推真

甲(P)为假,推出¬P为真,即主因不是支付赎金;

丙(Q∧¬P)为假,推出¬(Q∧¬P)为真,推出¬Q∨P为真;

结合¬P为真和¬Q∨P为真,可推得:¬Q为真,即并未助长海盗气焰;

因此可知丁说的是假话,乙说的是真话。

正确答案:B

数学应用

1

题目1:

例题1:

绝密

启用前

把一根圆木锯成3段需要8分钟,如果把同样的圆木锯成9段需要多少分钟?

A.24分钟

B.27分钟

C.32分钟

D.36分钟

解析

①题干关键

锯成n段,需要锯(n-1)次;

②解题过程

设锯一次需要的时间为t分钟,则:

锯3段需要锯2次,而2t=8分钟,推出t=4分钟;

锯9段需要锯8次,所需时间=8t=8×4=32分钟。

正确答案:C

2

题目2:

例题2:

绝密

启用前

把自然数1,2,3,4,5……98,99分成三组,如果每组数的平均数恰好相等,那么此平均数为多少?

A.55

B.60

C.45

D.50

解析

①解题关键

如果三组数的平均数相等,那么每组平均数=全体数的平均数;

②计算全体平均数

▶方法一:利用等差数列平均数公式

1到99是首项为1、末项为99、项数为99的等差数列;

平均数=(首项+末项)/2=(1+99)/2=50

▶方法二:利用中位数性质

1到99的连续自然数,其平均数就是中位数,中位数是第50个数,即50。

正确答案:D

3

题目3:

例题3:

绝密

启用前

办公室有甲、乙、丙、丁4位同志,甲比乙大5岁,丙比丁大2岁。丁三年前参加工作,当时22岁。他们四人现在的年龄之和为127岁。那么乙现在的年龄是多少?

A.25岁

B.27岁

C.35岁

D.40岁

解析

丁三年前22岁:则丁现在=22+3=25岁

丙比丁大2岁:丙=丁+2=27岁

四人现在年龄之和:甲+乙+丙+丁=127

甲比乙大5岁:甲=乙+5

解得乙=35

正确答案:C

4

题目4:

例题4:

绝密

启用前

边长为1米的正方体525个,堆成了一个实心的长方体,它的高是5米,长、宽都大于高,则长方体的长与宽的和是多少米?

A.21米

B.22米

C.23米

D.24米

解析

设长为a,宽为b,高c=5米

体积公式:V=abc,代入V=525

解得:ab=105

将105分解质因数:105=3×5×7

而符合长、宽为正整数且>5的组合:只有a=15,b=7

则长方体的长与宽的和=22

正确答案:B

5

题目5:

例题5:

绝密

启用前

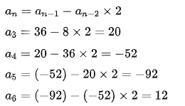
8,36,20,-52,-92,()

A.54

B.12

C.-226

D.-96

解析

观察数列可知:每一项等于前一项减去再前一项的两倍,即:

正确答案:B

图形推理

1

题目1:

例题1:

绝密

启用前

在所给的选项中,选择最合适的一项填入问号处?

A.

B.

C.

D.

解析

①整体观察图形:所有图形均由曲线和少量直线构成;

②曲线数量:每个图形都是由4条曲线构成;

因此问号处图形也应由4条曲线构成,对应选项C。

正确答案:C

2

题目2:

例题2:

绝密

启用前

在所给的选项中,选择最合适的一项填入问号处?

A.

B.

C.

D.

解析

本题考查图形叠加的规律:

叠加规律为:星星+空白=空白,星星+星星=星星,空白+空白=星星;

因此,问号处应该选择选项A。

正确答案:A

3

题目3:

例题3:

绝密

启用前

以下图形按规律分成两组:

A.①③④、②⑤⑥

B.①③⑤、②④⑥

C.①②⑥、③④⑤

D.①④⑥、②③⑤

解析

本题考查数量类题型中的一笔画问题。题干的③④⑤图形都可由一笔画成,①②⑥需要两笔画出。

正确答案:C

4

题目4:

例题4:

绝密

启用前

在所给的选项中,选择最合适的一项填入问号处?

A.

B.

C.

D.

解析

本题考查样式类的旋转问题。

观察第一组图形发现,图形依次逆时针旋转90°,旋转后黑白格互调。

按照规律,第二组图形依次逆时针旋转90°,两个三角形颜色互调,对应选项为B选项。

正确答案:B

5

题目5:

例题5:

绝密

启用前

问号处图形应该是:

A.

B.

C.

D.

解析

本题考查黑格的数量、位置规律:

观察题干图形,可发现每个图形都包含三个黑格,且每个图形都有一个黑格位于四个顶角之一(左上、右上、左下、右下),其余两个黑格位置随机,因此问号处图形对应选项D。

正确答案:D

以上就是本期的大厂真题卷分享啦!你回答的如何?欢迎留言讨论~

点击顶部关注【职计划行测攻略】,不再错过更新,你将收获更多大厂上岸经验~

注:本文部分解题方法论参考行业通用培训资料,结合笔者实战经验总结而成。例题来源于历史考题,各企业每年题型可能调整,备考时建议结合官方考纲与当年真题双向验证。如遇到新题目欢迎读者投稿交流~

大厂在职L8产品专家每场课价值20万的产品经理,累计辅导1500+同学收获高薪产品offer,进入各互联网一线大厂,包括但不限于:京东管培、腾讯、美团、字节跳动、百度、阿里、快手、拼多多管培、微软、携程、360、华为、爱奇艺、小红书、哔哩哔哩等SP/SSP offer

就业形势严峻,加入【职计划】大家庭,成就每个年轻人的职业梦想!

与梦追 | Live House

我们三五成群

<<<  END >>>

最新文章

随机文章

基本 文件 流程 错误 SQL 调试
  1. 请求信息 : 2026-05-22 06:28:42 HTTP/2.0 GET : https://c.15386.cn/a/457961.html
  2. 运行时间 : 0.110203s [ 吞吐率:9.07req/s ] 内存消耗:4,984.10kb 文件加载:140
  3. 缓存信息 : 0 reads,0 writes
  4. 会话信息 : SESSION_ID=d7862aa6790e2de862b5f12474af60b2
  1. /yingpanguazai/ssd/ssd1/www/c.15386.cn/public/index.php ( 0.79 KB )
  2. /yingpanguazai/ssd/ssd1/www/c.15386.cn/vendor/autoload.php ( 0.17 KB )
  3. /yingpanguazai/ssd/ssd1/www/c.15386.cn/vendor/composer/autoload_real.php ( 2.49 KB )
  4. /yingpanguazai/ssd/ssd1/www/c.15386.cn/vendor/composer/platform_check.php ( 0.90 KB )
  5. /yingpanguazai/ssd/ssd1/www/c.15386.cn/vendor/composer/ClassLoader.php ( 14.03 KB )
  6. /yingpanguazai/ssd/ssd1/www/c.15386.cn/vendor/composer/autoload_static.php ( 4.90 KB )
  7. /yingpanguazai/ssd/ssd1/www/c.15386.cn/vendor/topthink/think-helper/src/helper.php ( 8.34 KB )
  8. /yingpanguazai/ssd/ssd1/www/c.15386.cn/vendor/topthink/think-validate/src/helper.php ( 2.19 KB )
  9. /yingpanguazai/ssd/ssd1/www/c.15386.cn/vendor/topthink/think-orm/src/helper.php ( 1.47 KB )
  10. /yingpanguazai/ssd/ssd1/www/c.15386.cn/vendor/topthink/think-orm/stubs/load_stubs.php ( 0.16 KB )
  11. /yingpanguazai/ssd/ssd1/www/c.15386.cn/vendor/topthink/framework/src/think/Exception.php ( 1.69 KB )
  12. /yingpanguazai/ssd/ssd1/www/c.15386.cn/vendor/topthink/think-container/src/Facade.php ( 2.71 KB )
  13. /yingpanguazai/ssd/ssd1/www/c.15386.cn/vendor/symfony/deprecation-contracts/function.php ( 0.99 KB )
  14. /yingpanguazai/ssd/ssd1/www/c.15386.cn/vendor/symfony/polyfill-mbstring/bootstrap.php ( 8.26 KB )
  15. /yingpanguazai/ssd/ssd1/www/c.15386.cn/vendor/symfony/polyfill-mbstring/bootstrap80.php ( 9.78 KB )
  16. /yingpanguazai/ssd/ssd1/www/c.15386.cn/vendor/symfony/var-dumper/Resources/functions/dump.php ( 1.49 KB )
  17. /yingpanguazai/ssd/ssd1/www/c.15386.cn/vendor/topthink/think-dumper/src/helper.php ( 0.18 KB )
  18. /yingpanguazai/ssd/ssd1/www/c.15386.cn/vendor/symfony/var-dumper/VarDumper.php ( 4.30 KB )
  19. /yingpanguazai/ssd/ssd1/www/c.15386.cn/vendor/topthink/framework/src/think/App.php ( 15.30 KB )
  20. /yingpanguazai/ssd/ssd1/www/c.15386.cn/vendor/topthink/think-container/src/Container.php ( 15.76 KB )
  21. /yingpanguazai/ssd/ssd1/www/c.15386.cn/vendor/psr/container/src/ContainerInterface.php ( 1.02 KB )
  22. /yingpanguazai/ssd/ssd1/www/c.15386.cn/app/provider.php ( 0.19 KB )
  23. /yingpanguazai/ssd/ssd1/www/c.15386.cn/vendor/topthink/framework/src/think/Http.php ( 6.04 KB )
  24. /yingpanguazai/ssd/ssd1/www/c.15386.cn/vendor/topthink/think-helper/src/helper/Str.php ( 7.29 KB )
  25. /yingpanguazai/ssd/ssd1/www/c.15386.cn/vendor/topthink/framework/src/think/Env.php ( 4.68 KB )
  26. /yingpanguazai/ssd/ssd1/www/c.15386.cn/app/common.php ( 0.03 KB )
  27. /yingpanguazai/ssd/ssd1/www/c.15386.cn/vendor/topthink/framework/src/helper.php ( 18.78 KB )
  28. /yingpanguazai/ssd/ssd1/www/c.15386.cn/vendor/topthink/framework/src/think/Config.php ( 5.54 KB )
  29. /yingpanguazai/ssd/ssd1/www/c.15386.cn/config/app.php ( 0.95 KB )
  30. /yingpanguazai/ssd/ssd1/www/c.15386.cn/config/cache.php ( 0.78 KB )
  31. /yingpanguazai/ssd/ssd1/www/c.15386.cn/config/console.php ( 0.23 KB )
  32. /yingpanguazai/ssd/ssd1/www/c.15386.cn/config/cookie.php ( 0.56 KB )
  33. /yingpanguazai/ssd/ssd1/www/c.15386.cn/config/database.php ( 2.48 KB )
  34. /yingpanguazai/ssd/ssd1/www/c.15386.cn/vendor/topthink/framework/src/think/facade/Env.php ( 1.67 KB )
  35. /yingpanguazai/ssd/ssd1/www/c.15386.cn/config/filesystem.php ( 0.61 KB )
  36. /yingpanguazai/ssd/ssd1/www/c.15386.cn/config/lang.php ( 0.91 KB )
  37. /yingpanguazai/ssd/ssd1/www/c.15386.cn/config/log.php ( 1.35 KB )
  38. /yingpanguazai/ssd/ssd1/www/c.15386.cn/config/middleware.php ( 0.19 KB )
  39. /yingpanguazai/ssd/ssd1/www/c.15386.cn/config/route.php ( 1.89 KB )
  40. /yingpanguazai/ssd/ssd1/www/c.15386.cn/config/session.php ( 0.57 KB )
  41. /yingpanguazai/ssd/ssd1/www/c.15386.cn/config/trace.php ( 0.34 KB )
  42. /yingpanguazai/ssd/ssd1/www/c.15386.cn/config/view.php ( 0.82 KB )
  43. /yingpanguazai/ssd/ssd1/www/c.15386.cn/app/event.php ( 0.25 KB )
  44. /yingpanguazai/ssd/ssd1/www/c.15386.cn/vendor/topthink/framework/src/think/Event.php ( 7.67 KB )
  45. /yingpanguazai/ssd/ssd1/www/c.15386.cn/app/service.php ( 0.13 KB )
  46. /yingpanguazai/ssd/ssd1/www/c.15386.cn/app/AppService.php ( 0.26 KB )
  47. /yingpanguazai/ssd/ssd1/www/c.15386.cn/vendor/topthink/framework/src/think/Service.php ( 1.64 KB )
  48. /yingpanguazai/ssd/ssd1/www/c.15386.cn/vendor/topthink/framework/src/think/Lang.php ( 7.35 KB )
  49. /yingpanguazai/ssd/ssd1/www/c.15386.cn/vendor/topthink/framework/src/lang/zh-cn.php ( 13.70 KB )
  50. /yingpanguazai/ssd/ssd1/www/c.15386.cn/vendor/topthink/framework/src/think/initializer/Error.php ( 3.31 KB )
  51. /yingpanguazai/ssd/ssd1/www/c.15386.cn/vendor/topthink/framework/src/think/initializer/RegisterService.php ( 1.33 KB )
  52. /yingpanguazai/ssd/ssd1/www/c.15386.cn/vendor/services.php ( 0.14 KB )
  53. /yingpanguazai/ssd/ssd1/www/c.15386.cn/vendor/topthink/framework/src/think/service/PaginatorService.php ( 1.52 KB )
  54. /yingpanguazai/ssd/ssd1/www/c.15386.cn/vendor/topthink/framework/src/think/service/ValidateService.php ( 0.99 KB )
  55. /yingpanguazai/ssd/ssd1/www/c.15386.cn/vendor/topthink/framework/src/think/service/ModelService.php ( 2.04 KB )
  56. /yingpanguazai/ssd/ssd1/www/c.15386.cn/vendor/topthink/think-trace/src/Service.php ( 0.77 KB )
  57. /yingpanguazai/ssd/ssd1/www/c.15386.cn/vendor/topthink/framework/src/think/Middleware.php ( 6.72 KB )
  58. /yingpanguazai/ssd/ssd1/www/c.15386.cn/vendor/topthink/framework/src/think/initializer/BootService.php ( 0.77 KB )
  59. /yingpanguazai/ssd/ssd1/www/c.15386.cn/vendor/topthink/think-orm/src/Paginator.php ( 11.86 KB )
  60. /yingpanguazai/ssd/ssd1/www/c.15386.cn/vendor/topthink/think-validate/src/Validate.php ( 63.20 KB )
  61. /yingpanguazai/ssd/ssd1/www/c.15386.cn/vendor/topthink/think-orm/src/Model.php ( 23.55 KB )
  62. /yingpanguazai/ssd/ssd1/www/c.15386.cn/vendor/topthink/think-orm/src/model/concern/Attribute.php ( 21.05 KB )
  63. /yingpanguazai/ssd/ssd1/www/c.15386.cn/vendor/topthink/think-orm/src/model/concern/AutoWriteData.php ( 4.21 KB )
  64. /yingpanguazai/ssd/ssd1/www/c.15386.cn/vendor/topthink/think-orm/src/model/concern/Conversion.php ( 6.44 KB )
  65. /yingpanguazai/ssd/ssd1/www/c.15386.cn/vendor/topthink/think-orm/src/model/concern/DbConnect.php ( 5.16 KB )
  66. /yingpanguazai/ssd/ssd1/www/c.15386.cn/vendor/topthink/think-orm/src/model/concern/ModelEvent.php ( 2.33 KB )
  67. /yingpanguazai/ssd/ssd1/www/c.15386.cn/vendor/topthink/think-orm/src/model/concern/RelationShip.php ( 28.29 KB )
  68. /yingpanguazai/ssd/ssd1/www/c.15386.cn/vendor/topthink/think-helper/src/contract/Arrayable.php ( 0.09 KB )
  69. /yingpanguazai/ssd/ssd1/www/c.15386.cn/vendor/topthink/think-helper/src/contract/Jsonable.php ( 0.13 KB )
  70. /yingpanguazai/ssd/ssd1/www/c.15386.cn/vendor/topthink/think-orm/src/model/contract/Modelable.php ( 0.09 KB )
  71. /yingpanguazai/ssd/ssd1/www/c.15386.cn/vendor/topthink/framework/src/think/Db.php ( 2.88 KB )
  72. /yingpanguazai/ssd/ssd1/www/c.15386.cn/vendor/topthink/think-orm/src/DbManager.php ( 8.52 KB )
  73. /yingpanguazai/ssd/ssd1/www/c.15386.cn/vendor/topthink/framework/src/think/Log.php ( 6.28 KB )
  74. /yingpanguazai/ssd/ssd1/www/c.15386.cn/vendor/topthink/framework/src/think/Manager.php ( 3.92 KB )
  75. /yingpanguazai/ssd/ssd1/www/c.15386.cn/vendor/psr/log/src/LoggerTrait.php ( 2.69 KB )
  76. /yingpanguazai/ssd/ssd1/www/c.15386.cn/vendor/psr/log/src/LoggerInterface.php ( 2.71 KB )
  77. /yingpanguazai/ssd/ssd1/www/c.15386.cn/vendor/topthink/framework/src/think/Cache.php ( 4.92 KB )
  78. /yingpanguazai/ssd/ssd1/www/c.15386.cn/vendor/psr/simple-cache/src/CacheInterface.php ( 4.71 KB )
  79. /yingpanguazai/ssd/ssd1/www/c.15386.cn/vendor/topthink/think-helper/src/helper/Arr.php ( 16.63 KB )
  80. /yingpanguazai/ssd/ssd1/www/c.15386.cn/vendor/topthink/framework/src/think/cache/driver/File.php ( 7.84 KB )
  81. /yingpanguazai/ssd/ssd1/www/c.15386.cn/vendor/topthink/framework/src/think/cache/Driver.php ( 9.03 KB )
  82. /yingpanguazai/ssd/ssd1/www/c.15386.cn/vendor/topthink/framework/src/think/contract/CacheHandlerInterface.php ( 1.99 KB )
  83. /yingpanguazai/ssd/ssd1/www/c.15386.cn/app/Request.php ( 0.09 KB )
  84. /yingpanguazai/ssd/ssd1/www/c.15386.cn/vendor/topthink/framework/src/think/Request.php ( 55.78 KB )
  85. /yingpanguazai/ssd/ssd1/www/c.15386.cn/app/middleware.php ( 0.25 KB )
  86. /yingpanguazai/ssd/ssd1/www/c.15386.cn/vendor/topthink/framework/src/think/Pipeline.php ( 2.61 KB )
  87. /yingpanguazai/ssd/ssd1/www/c.15386.cn/vendor/topthink/think-trace/src/TraceDebug.php ( 3.40 KB )
  88. /yingpanguazai/ssd/ssd1/www/c.15386.cn/vendor/topthink/framework/src/think/middleware/SessionInit.php ( 1.94 KB )
  89. /yingpanguazai/ssd/ssd1/www/c.15386.cn/vendor/topthink/framework/src/think/Session.php ( 1.80 KB )
  90. /yingpanguazai/ssd/ssd1/www/c.15386.cn/vendor/topthink/framework/src/think/session/driver/File.php ( 6.27 KB )
  91. /yingpanguazai/ssd/ssd1/www/c.15386.cn/vendor/topthink/framework/src/think/contract/SessionHandlerInterface.php ( 0.87 KB )
  92. /yingpanguazai/ssd/ssd1/www/c.15386.cn/vendor/topthink/framework/src/think/session/Store.php ( 7.12 KB )
  93. /yingpanguazai/ssd/ssd1/www/c.15386.cn/vendor/topthink/framework/src/think/Route.php ( 23.73 KB )
  94. /yingpanguazai/ssd/ssd1/www/c.15386.cn/vendor/topthink/framework/src/think/route/RuleName.php ( 5.75 KB )
  95. /yingpanguazai/ssd/ssd1/www/c.15386.cn/vendor/topthink/framework/src/think/route/Domain.php ( 2.53 KB )
  96. /yingpanguazai/ssd/ssd1/www/c.15386.cn/vendor/topthink/framework/src/think/route/RuleGroup.php ( 22.43 KB )
  97. /yingpanguazai/ssd/ssd1/www/c.15386.cn/vendor/topthink/framework/src/think/route/Rule.php ( 26.95 KB )
  98. /yingpanguazai/ssd/ssd1/www/c.15386.cn/vendor/topthink/framework/src/think/route/RuleItem.php ( 9.78 KB )
  99. /yingpanguazai/ssd/ssd1/www/c.15386.cn/route/app.php ( 1.72 KB )
  100. /yingpanguazai/ssd/ssd1/www/c.15386.cn/vendor/topthink/framework/src/think/facade/Route.php ( 4.70 KB )
  101. /yingpanguazai/ssd/ssd1/www/c.15386.cn/vendor/topthink/framework/src/think/route/dispatch/Controller.php ( 4.74 KB )
  102. /yingpanguazai/ssd/ssd1/www/c.15386.cn/vendor/topthink/framework/src/think/route/Dispatch.php ( 10.44 KB )
  103. /yingpanguazai/ssd/ssd1/www/c.15386.cn/app/controller/Index.php ( 4.81 KB )
  104. /yingpanguazai/ssd/ssd1/www/c.15386.cn/app/BaseController.php ( 2.05 KB )
  105. /yingpanguazai/ssd/ssd1/www/c.15386.cn/vendor/topthink/think-orm/src/facade/Db.php ( 0.93 KB )
  106. /yingpanguazai/ssd/ssd1/www/c.15386.cn/vendor/topthink/think-orm/src/db/connector/Mysql.php ( 5.44 KB )
  107. /yingpanguazai/ssd/ssd1/www/c.15386.cn/vendor/topthink/think-orm/src/db/PDOConnection.php ( 52.47 KB )
  108. /yingpanguazai/ssd/ssd1/www/c.15386.cn/vendor/topthink/think-orm/src/db/Connection.php ( 8.39 KB )
  109. /yingpanguazai/ssd/ssd1/www/c.15386.cn/vendor/topthink/think-orm/src/db/ConnectionInterface.php ( 4.57 KB )
  110. /yingpanguazai/ssd/ssd1/www/c.15386.cn/vendor/topthink/think-orm/src/db/builder/Mysql.php ( 16.58 KB )
  111. /yingpanguazai/ssd/ssd1/www/c.15386.cn/vendor/topthink/think-orm/src/db/Builder.php ( 24.06 KB )
  112. /yingpanguazai/ssd/ssd1/www/c.15386.cn/vendor/topthink/think-orm/src/db/BaseBuilder.php ( 27.50 KB )
  113. /yingpanguazai/ssd/ssd1/www/c.15386.cn/vendor/topthink/think-orm/src/db/Query.php ( 15.71 KB )
  114. /yingpanguazai/ssd/ssd1/www/c.15386.cn/vendor/topthink/think-orm/src/db/BaseQuery.php ( 45.13 KB )
  115. /yingpanguazai/ssd/ssd1/www/c.15386.cn/vendor/topthink/think-orm/src/db/concern/TimeFieldQuery.php ( 7.43 KB )
  116. /yingpanguazai/ssd/ssd1/www/c.15386.cn/vendor/topthink/think-orm/src/db/concern/AggregateQuery.php ( 3.26 KB )
  117. /yingpanguazai/ssd/ssd1/www/c.15386.cn/vendor/topthink/think-orm/src/db/concern/ModelRelationQuery.php ( 20.07 KB )
  118. /yingpanguazai/ssd/ssd1/www/c.15386.cn/vendor/topthink/think-orm/src/db/concern/ParamsBind.php ( 3.66 KB )
  119. /yingpanguazai/ssd/ssd1/www/c.15386.cn/vendor/topthink/think-orm/src/db/concern/ResultOperation.php ( 7.01 KB )
  120. /yingpanguazai/ssd/ssd1/www/c.15386.cn/vendor/topthink/think-orm/src/db/concern/WhereQuery.php ( 19.37 KB )
  121. /yingpanguazai/ssd/ssd1/www/c.15386.cn/vendor/topthink/think-orm/src/db/concern/JoinAndViewQuery.php ( 7.11 KB )
  122. /yingpanguazai/ssd/ssd1/www/c.15386.cn/vendor/topthink/think-orm/src/db/concern/TableFieldInfo.php ( 2.63 KB )
  123. /yingpanguazai/ssd/ssd1/www/c.15386.cn/vendor/topthink/think-orm/src/db/concern/Transaction.php ( 2.77 KB )
  124. /yingpanguazai/ssd/ssd1/www/c.15386.cn/vendor/topthink/framework/src/think/log/driver/File.php ( 5.96 KB )
  125. /yingpanguazai/ssd/ssd1/www/c.15386.cn/vendor/topthink/framework/src/think/contract/LogHandlerInterface.php ( 0.86 KB )
  126. /yingpanguazai/ssd/ssd1/www/c.15386.cn/vendor/topthink/framework/src/think/log/Channel.php ( 3.89 KB )
  127. /yingpanguazai/ssd/ssd1/www/c.15386.cn/vendor/topthink/framework/src/think/event/LogRecord.php ( 1.02 KB )
  128. /yingpanguazai/ssd/ssd1/www/c.15386.cn/vendor/topthink/think-helper/src/Collection.php ( 16.47 KB )
  129. /yingpanguazai/ssd/ssd1/www/c.15386.cn/vendor/topthink/framework/src/think/facade/View.php ( 1.70 KB )
  130. /yingpanguazai/ssd/ssd1/www/c.15386.cn/vendor/topthink/framework/src/think/View.php ( 4.39 KB )
  131. /yingpanguazai/ssd/ssd1/www/c.15386.cn/vendor/topthink/framework/src/think/Response.php ( 8.81 KB )
  132. /yingpanguazai/ssd/ssd1/www/c.15386.cn/vendor/topthink/framework/src/think/response/View.php ( 3.29 KB )
  133. /yingpanguazai/ssd/ssd1/www/c.15386.cn/vendor/topthink/framework/src/think/Cookie.php ( 6.06 KB )
  134. /yingpanguazai/ssd/ssd1/www/c.15386.cn/vendor/topthink/think-view/src/Think.php ( 8.38 KB )
  135. /yingpanguazai/ssd/ssd1/www/c.15386.cn/vendor/topthink/framework/src/think/contract/TemplateHandlerInterface.php ( 1.60 KB )
  136. /yingpanguazai/ssd/ssd1/www/c.15386.cn/vendor/topthink/think-template/src/Template.php ( 46.61 KB )
  137. /yingpanguazai/ssd/ssd1/www/c.15386.cn/vendor/topthink/think-template/src/template/driver/File.php ( 2.41 KB )
  138. /yingpanguazai/ssd/ssd1/www/c.15386.cn/vendor/topthink/think-template/src/template/contract/DriverInterface.php ( 0.86 KB )
  139. /yingpanguazai/ssd/ssd1/www/c.15386.cn/runtime/temp/40f80deb92a91d097c4b967aecf15f1e.php ( 12.06 KB )
  140. /yingpanguazai/ssd/ssd1/www/c.15386.cn/vendor/topthink/think-trace/src/Html.php ( 4.42 KB )
  1. CONNECT:[ UseTime:0.000905s ] mysql:host=127.0.0.1;port=3306;dbname=c_15386;charset=utf8mb4
  2. SHOW FULL COLUMNS FROM `fenlei` [ RunTime:0.001622s ]
  3. SELECT * FROM `fenlei` WHERE `fid` = 0 [ RunTime:0.006561s ]
  4. SELECT * FROM `fenlei` WHERE `fid` = 63 [ RunTime:0.000298s ]
  5. SHOW FULL COLUMNS FROM `set` [ RunTime:0.000798s ]
  6. SELECT * FROM `set` [ RunTime:0.000249s ]
  7. SHOW FULL COLUMNS FROM `article` [ RunTime:0.000705s ]
  8. SELECT * FROM `article` WHERE `id` = 457961 LIMIT 1 [ RunTime:0.002062s ]
  9. UPDATE `article` SET `lasttime` = 1779402522 WHERE `id` = 457961 [ RunTime:0.006548s ]
  10. SELECT * FROM `fenlei` WHERE `id` = 65 LIMIT 1 [ RunTime:0.000329s ]
  11. SELECT * FROM `article` WHERE `id` < 457961 ORDER BY `id` DESC LIMIT 1 [ RunTime:0.000530s ]
  12. SELECT * FROM `article` WHERE `id` > 457961 ORDER BY `id` ASC LIMIT 1 [ RunTime:0.001511s ]
  13. SELECT * FROM `article` WHERE `id` < 457961 ORDER BY `id` DESC LIMIT 10 [ RunTime:0.001022s ]
  14. SELECT * FROM `article` WHERE `id` < 457961 ORDER BY `id` DESC LIMIT 10,10 [ RunTime:0.011480s ]
  15. SELECT * FROM `article` WHERE `id` < 457961 ORDER BY `id` DESC LIMIT 20,10 [ RunTime:0.001435s ]
0.111817s